Официальное опубликование правовых актов
ОФИЦИАЛЬНОЕ ОПУБЛИКОВАНИЕ
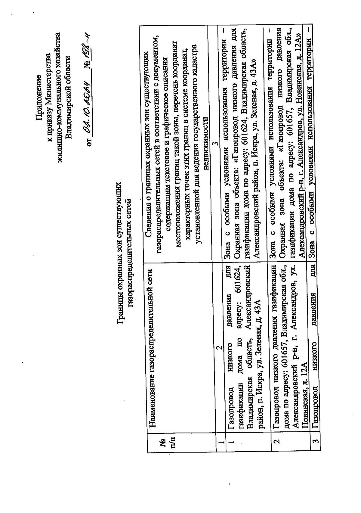
Приказ Министерства жилищно-коммунального хозяйства Владимирской области от 02.10.2024 № 198-н
"Об утверждении границ охранных зон газораспределительных сетей"
(Зарегистрирован 02.10.2024 № МЖКХ2024-198)
Номер опубликования: 3301202410040004
Дата опубликования: 04.10.2024
Страница №2 из 5:
Увеличить