Официальное опубликование правовых актов
ОФИЦИАЛЬНОЕ ОПУБЛИКОВАНИЕ
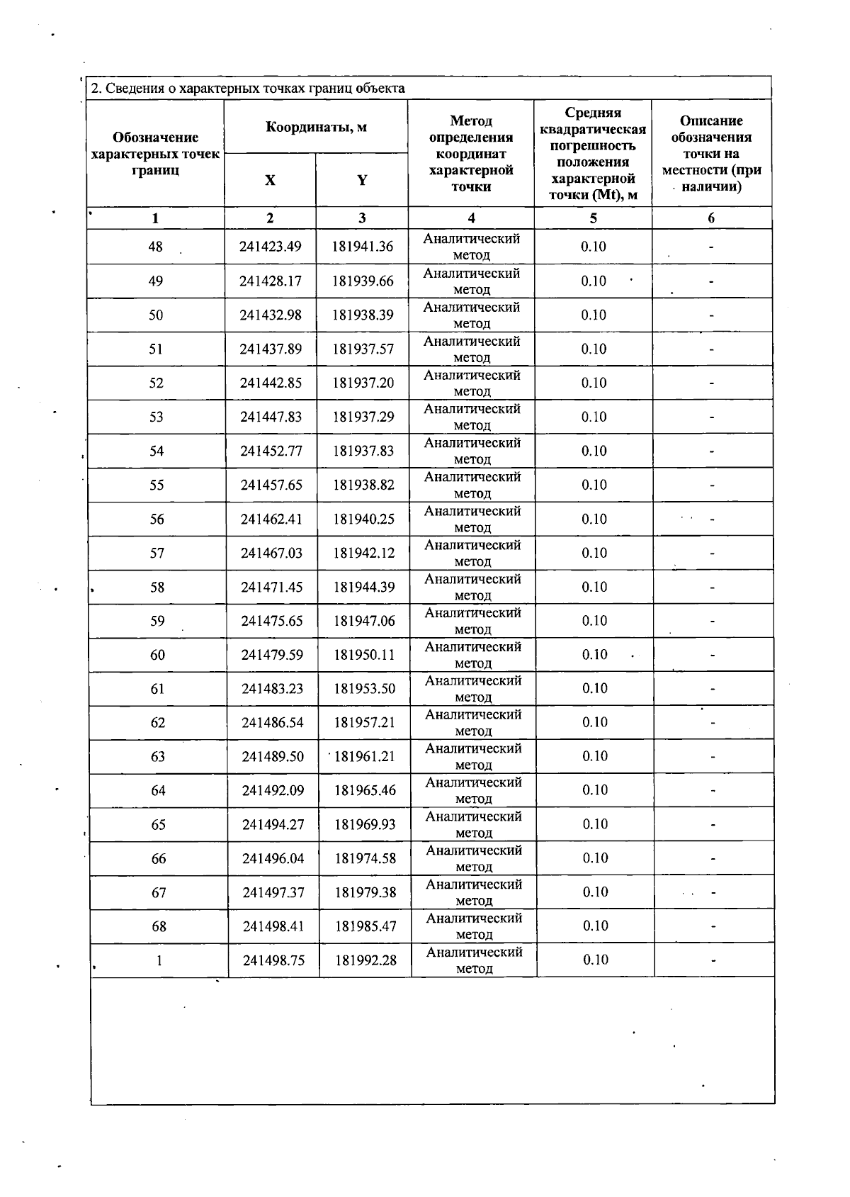
Приказ Министерства природопользования и экологии Владимирской области от 26.09.2024 № 72-н
"Об установлении зон санитарной охраны источников питьевого и хозяйственно-бытового водоснабжения МУП Юрьев-Польского района "Водоканал"
(Зарегистрирован 26.09.2024 № МПЭ2024-072)
Номер опубликования: 3301202409270004
Дата опубликования: 27.09.2024
Страница №12 из 27:
Увеличить