Официальное опубликование правовых актов
ОФИЦИАЛЬНОЕ ОПУБЛИКОВАНИЕ
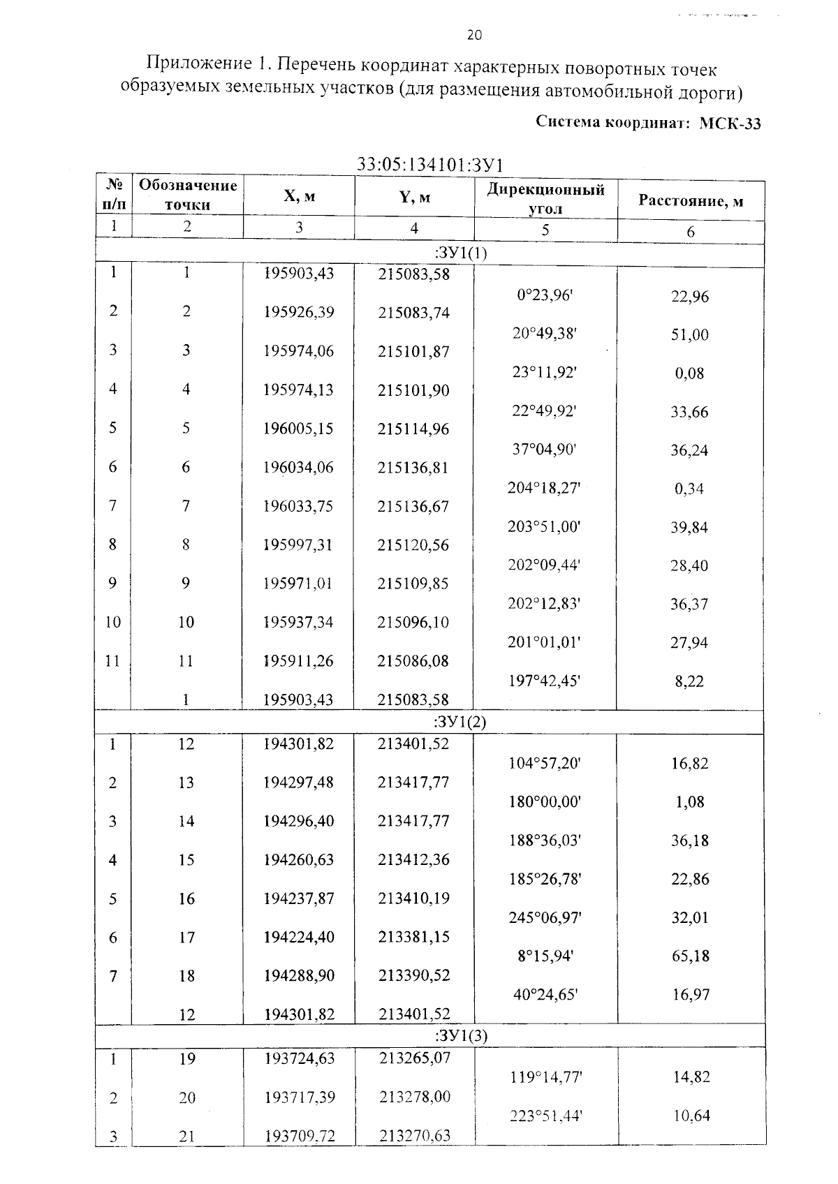
Приказ Министерства архитектуры и строительства Владимирской области от 12.09.2024 № 25-н
"Об утверждении документации по планировке территории объекта: "Строительство автомобильной дороги Загорье-Мосино, в Суздальском районе и городском округе город Владимир Владимирской области"
(Зарегистрирован 12.09.2024 № МАС 2024-025)
Номер опубликования: 3301202409160002
Дата опубликования: 16.09.2024
Страница №58 из 86:
Увеличить