Официальное опубликование правовых актов
ОФИЦИАЛЬНОЕ ОПУБЛИКОВАНИЕ
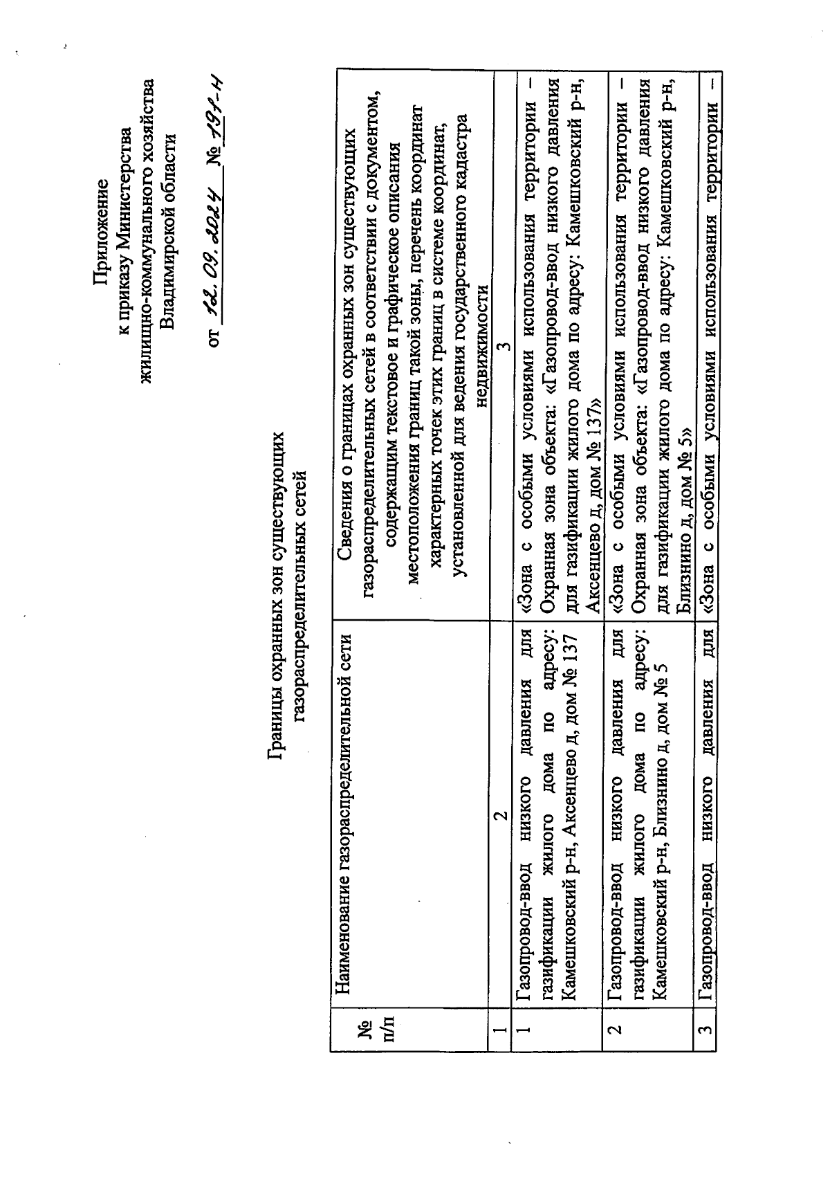
Приказ Министерства жилищно-коммунального хозяйства Владимирской области от 12.09.2024 № 191-н
"Об утверждении границ охранных зон газораспределительных сетей"
(Зарегистрирован 12.09.2024 № МЖКХ2024-191)
Номер опубликования: 3301202409130003
Дата опубликования: 13.09.2024
Страница №2 из 6:
Увеличить