Официальное опубликование правовых актов
ОФИЦИАЛЬНОЕ ОПУБЛИКОВАНИЕ
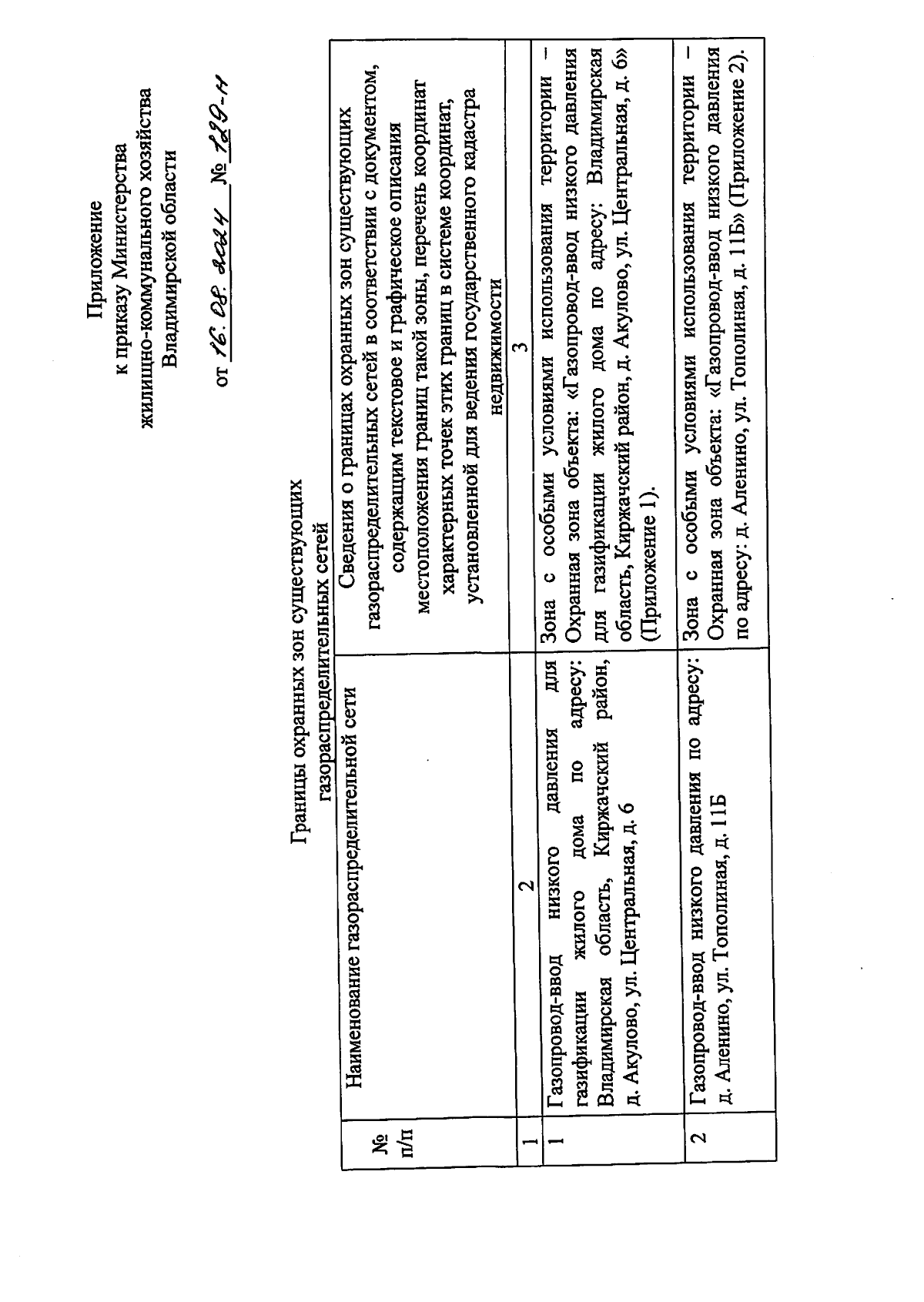
Приказ Министерства жилищно-коммунального хозяйства Владимирской области от 16.08.2024 № 129-н
"Об утверждении границ охранных зон газораспределительных сетей"
(Зарегистрирован 16.08.2024 № МЖКХ2024-129)
Номер опубликования: 3301202408200002
Дата опубликования: 20.08.2024
Страница №2 из 6:
Увеличить