Официальное опубликование правовых актов
ОФИЦИАЛЬНОЕ ОПУБЛИКОВАНИЕ
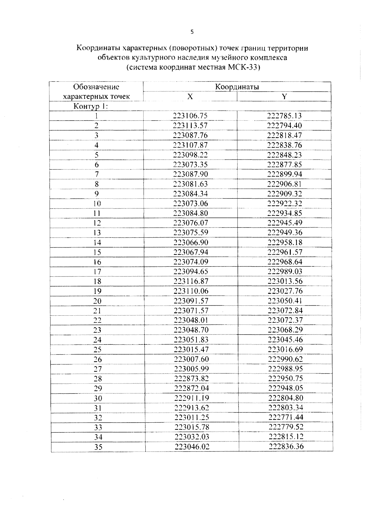
Приказ Инспекции государственной охраны объектов культурного наследия Владимирской области от 11.04.2024 № 12-н
"Об утверждении границ и режима использования территории объектов культурного наследия"
(Зарегистрирован 11.04.2024 № ИГООКН2024-12)
Номер опубликования: 3301202404120007
Дата опубликования: 12.04.2024
Страница №7 из 12:
Увеличить