Официальное опубликование правовых актов
ОФИЦИАЛЬНОЕ ОПУБЛИКОВАНИЕ
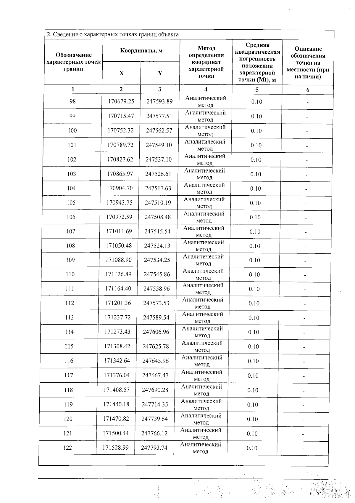
Приказ Министерства природопользования и экологии Владимирской области от 21.03.2024 № 20-н
"Об установлении зон санитарной охраны источников питьевого, хозяйственно-бытового и технологического водоснабжения ООО СП "Пионер"
(Зарегистрирован 21.03.2024 № МПЭ2024-020)
Номер опубликования: 3301202403210016
Дата опубликования: 21.03.2024
Страница №53 из 136:
Увеличить