Официальное опубликование правовых актов
ОФИЦИАЛЬНОЕ ОПУБЛИКОВАНИЕ
Приказ Министерства государственного регулирования цен и тарифов Владимирской области от 22.02.2024 № 7/12
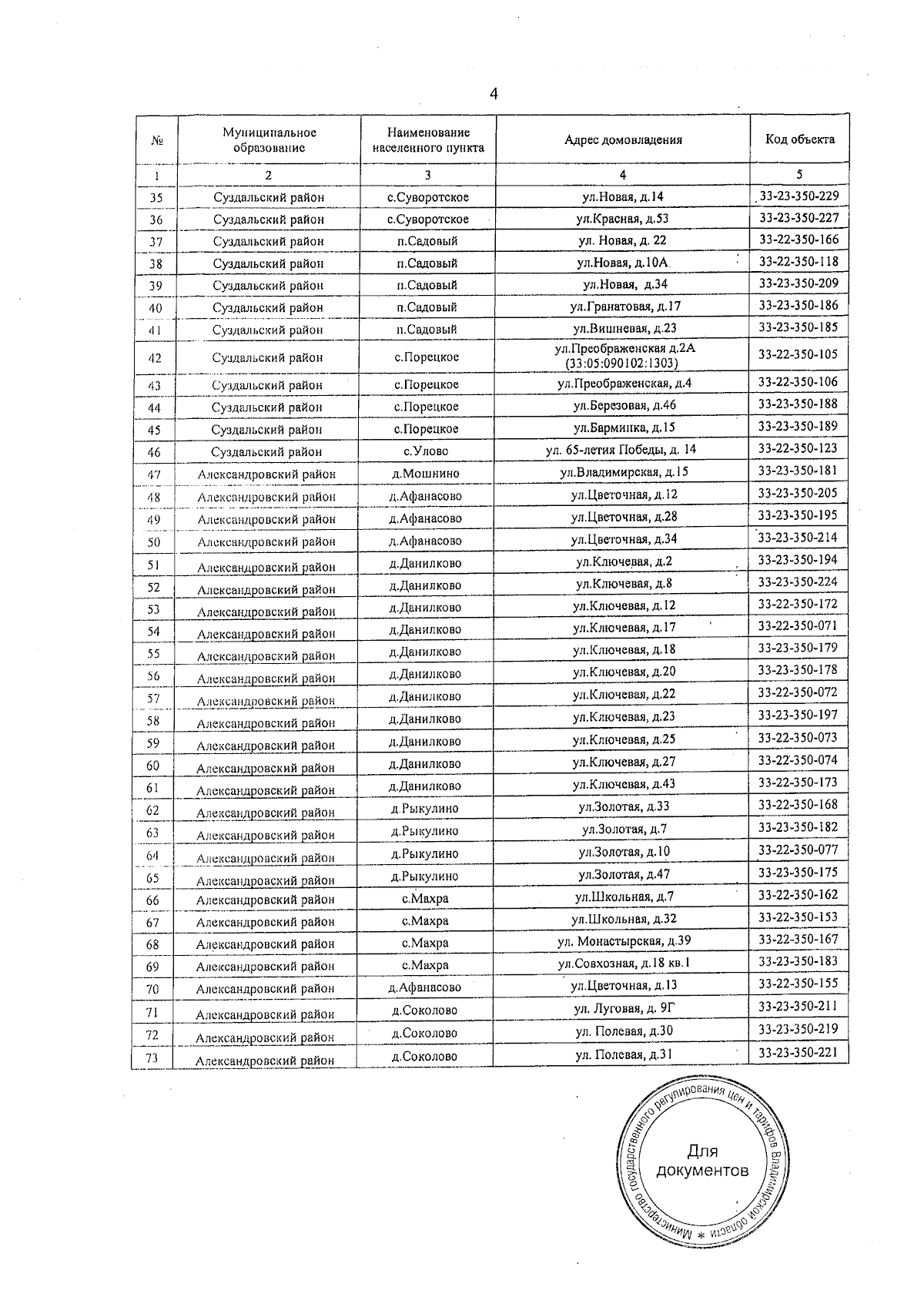
"Об утверждении экономически обоснованных расходов ООО "Региональные Газовые Системы" на выполнение мероприятий по технологическому присоединению в рамках догазификации в 4 квартале 2023 года"
(Зарегистрирован 22.02.2024 № МГРЦТ 2024-012)
Номер опубликования: 3301202402220003
Дата опубликования: 22.02.2024
Страница №4 из 6:
Увеличить