Официальное опубликование правовых актов
ОФИЦИАЛЬНОЕ ОПУБЛИКОВАНИЕ
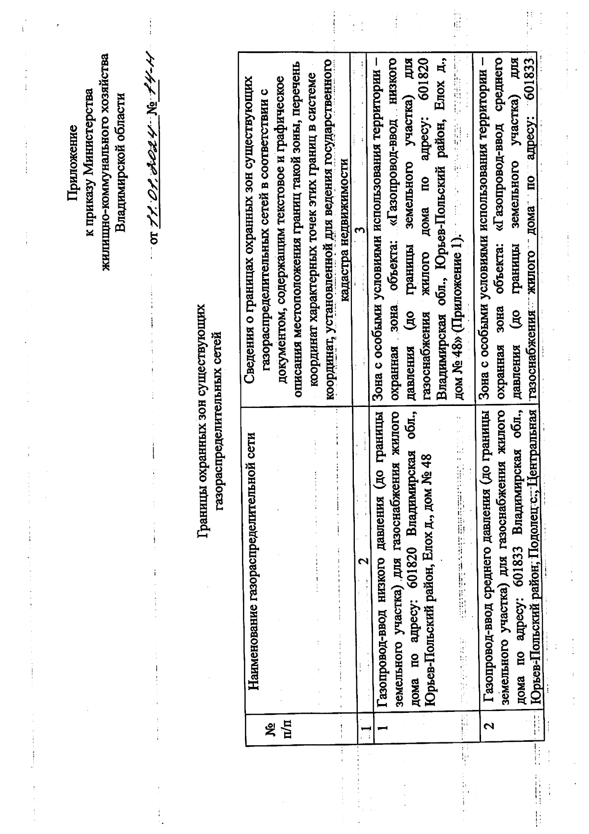
Приказ Министерства жилищно-коммунального хозяйства Владимирской области от 11.01.2024 № 14-н
"Об утверждении границ охранных зон газораспределительных сетей"
(Зарегистрирован 11.01.2024 № МЖКХ2024-014)
Номер опубликования: 3301202401170009
Дата опубликования: 17.01.2024
Страница №2 из 6:
Увеличить