Официальное опубликование правовых актов
ОФИЦИАЛЬНОЕ ОПУБЛИКОВАНИЕ
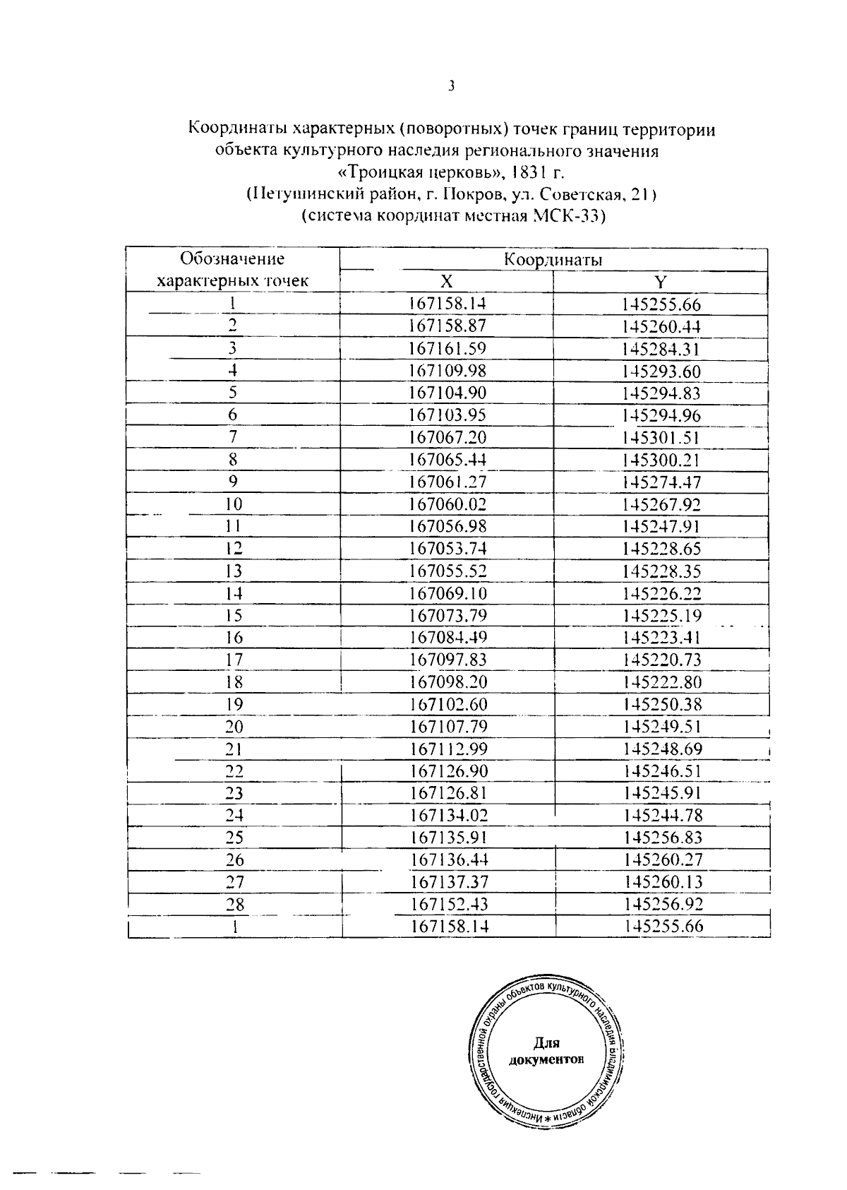
Приказ Инспекции государственной охраны объектов культурного наследия Владимирской области от 28.12.2023 № 35-н
"Об утверждении границ и режима использования территории объекта культурного наследия регионального значения "Троицкая церковь", 1831 г. (Петушинский район, г. Покров, ул. Советская, 21)"
(Зарегистрирован 28.12.2023 № ИГООКН-2023-35)
Номер опубликования: 3301202312290004
Дата опубликования: 29.12.2023
Страница №4 из 7:
Увеличить