Официальное опубликование правовых актов
ОФИЦИАЛЬНОЕ ОПУБЛИКОВАНИЕ
Приказ Министерства природопользования и экологии Владимирской области от 01.12.2023 № 146-н
"Об установлении зон санитарной охраны источников питьевого и хозяйственно-бытового водоснабжения ООО "ВКС-Кантри"
(Зарегистрирован 01.12.2023 № МПЭ2023-146)
Номер опубликования: 3301202312010013
Дата опубликования: 01.12.2023
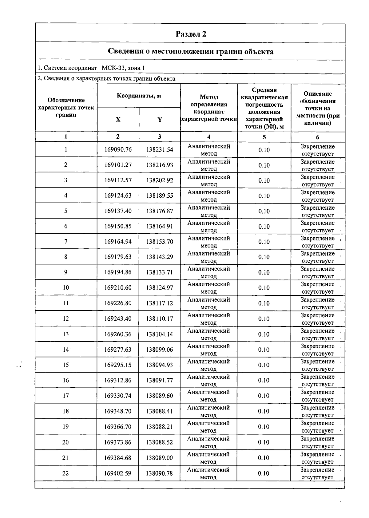
Страница №15 из 24:
Увеличить