Официальное опубликование правовых актов
ОФИЦИАЛЬНОЕ ОПУБЛИКОВАНИЕ
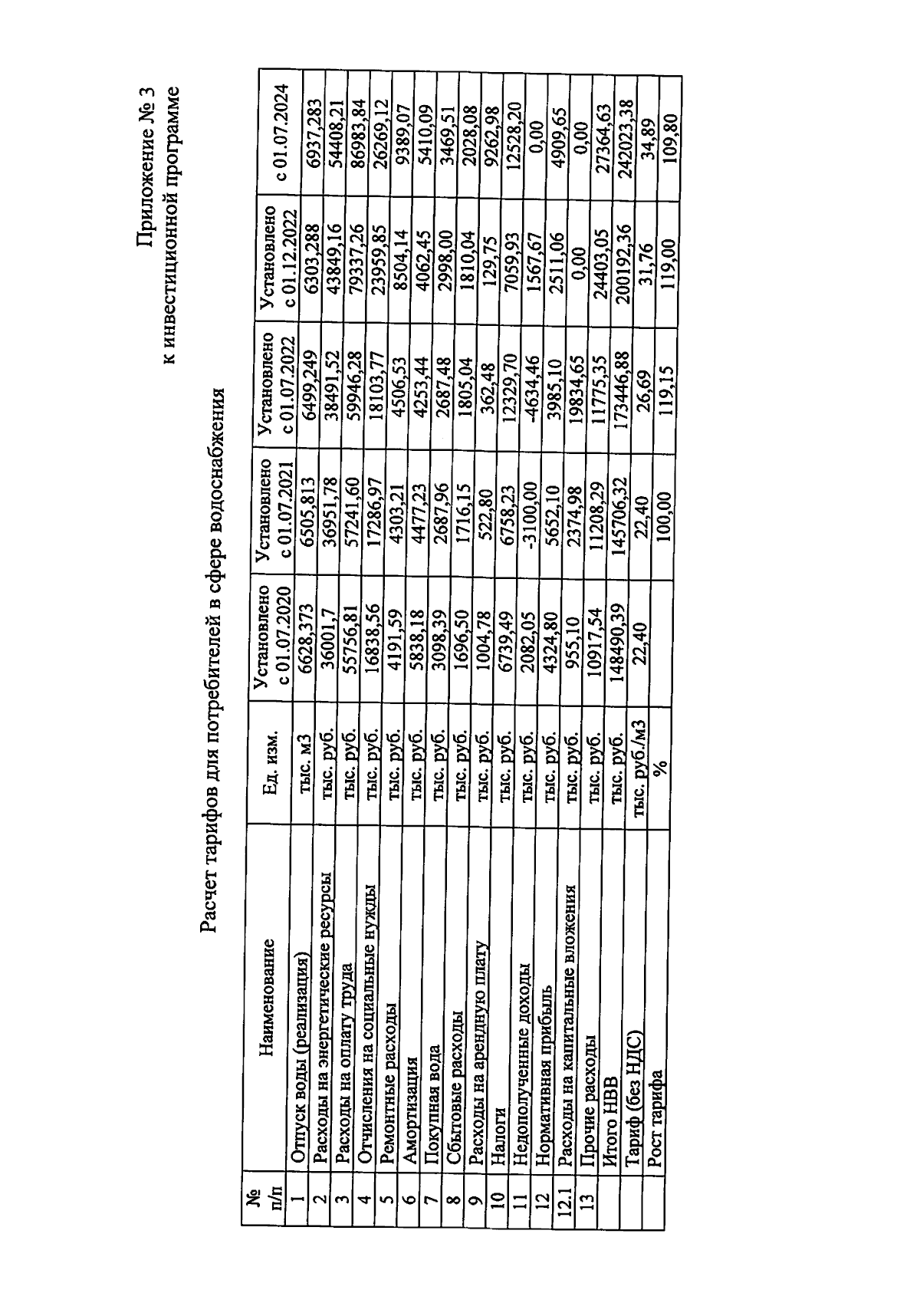
Приказ Министерства жилищно-коммунального хозяйства Владимирской области от 20.11.2023 № 146
"О внесении изменений в распоряжение департамента жилищно-коммунального хозяйства администрации Владимирской области от 30.10.2019 № 18 и иные правовые акты Департамента жилищно-коммунального хозяйства Владимирской области"
Номер опубликования: 3301202311290008
Дата опубликования: 29.11.2023
Страница №21 из 22:
Увеличить