Официальное опубликование правовых актов
ОФИЦИАЛЬНОЕ ОПУБЛИКОВАНИЕ
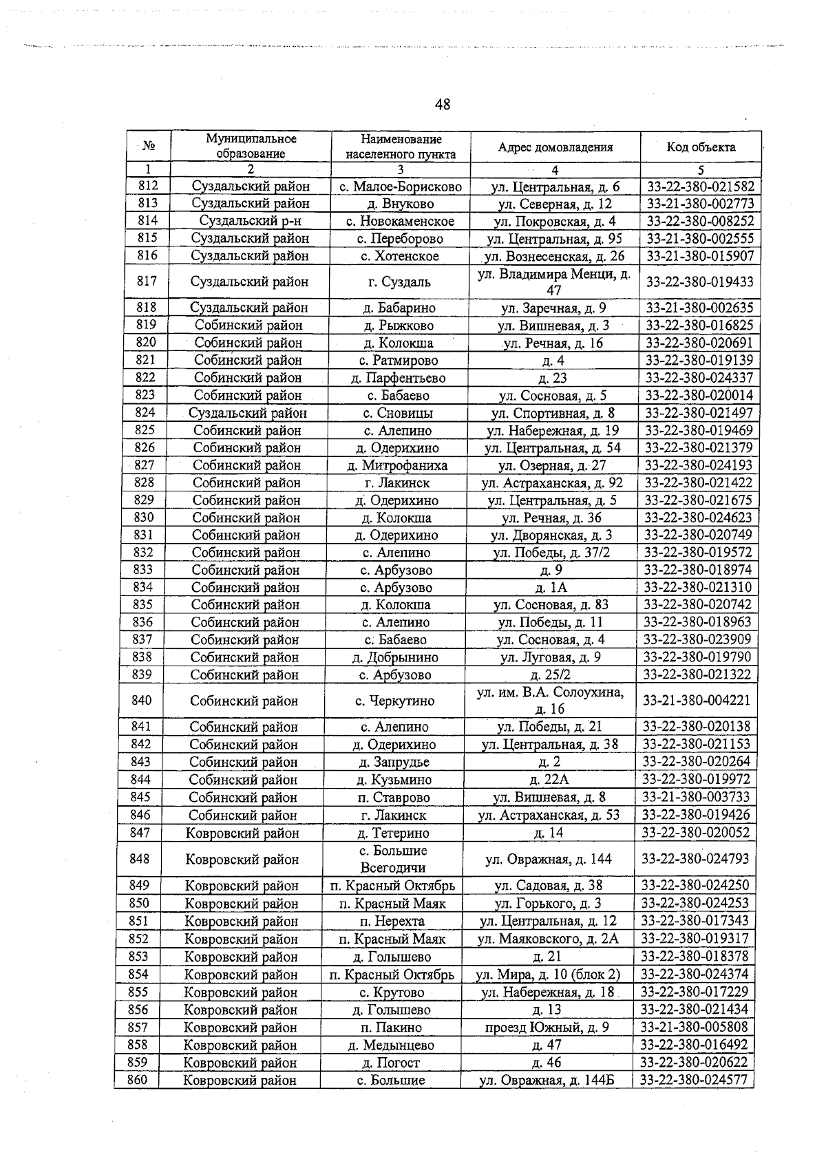
Приказ Министерства государственного регулирования цен и тарифов Владимирской области от 23.11.2023 № 44/219
"Об утверждении экономически обоснованных расходов АО "Газпром газораспределение Владимир" на выполнение мероприятий по технологическому присоединению в рамках догазификации в 3 квартале 2023 года"
(Зарегистрирован 23.11.2023 № МГРЦТ 2023-219)
Номер опубликования: 3301202311270006
Дата опубликования: 27.11.2023
Страница №48 из 93:
Увеличить