Официальное опубликование правовых актов
ОФИЦИАЛЬНОЕ ОПУБЛИКОВАНИЕ
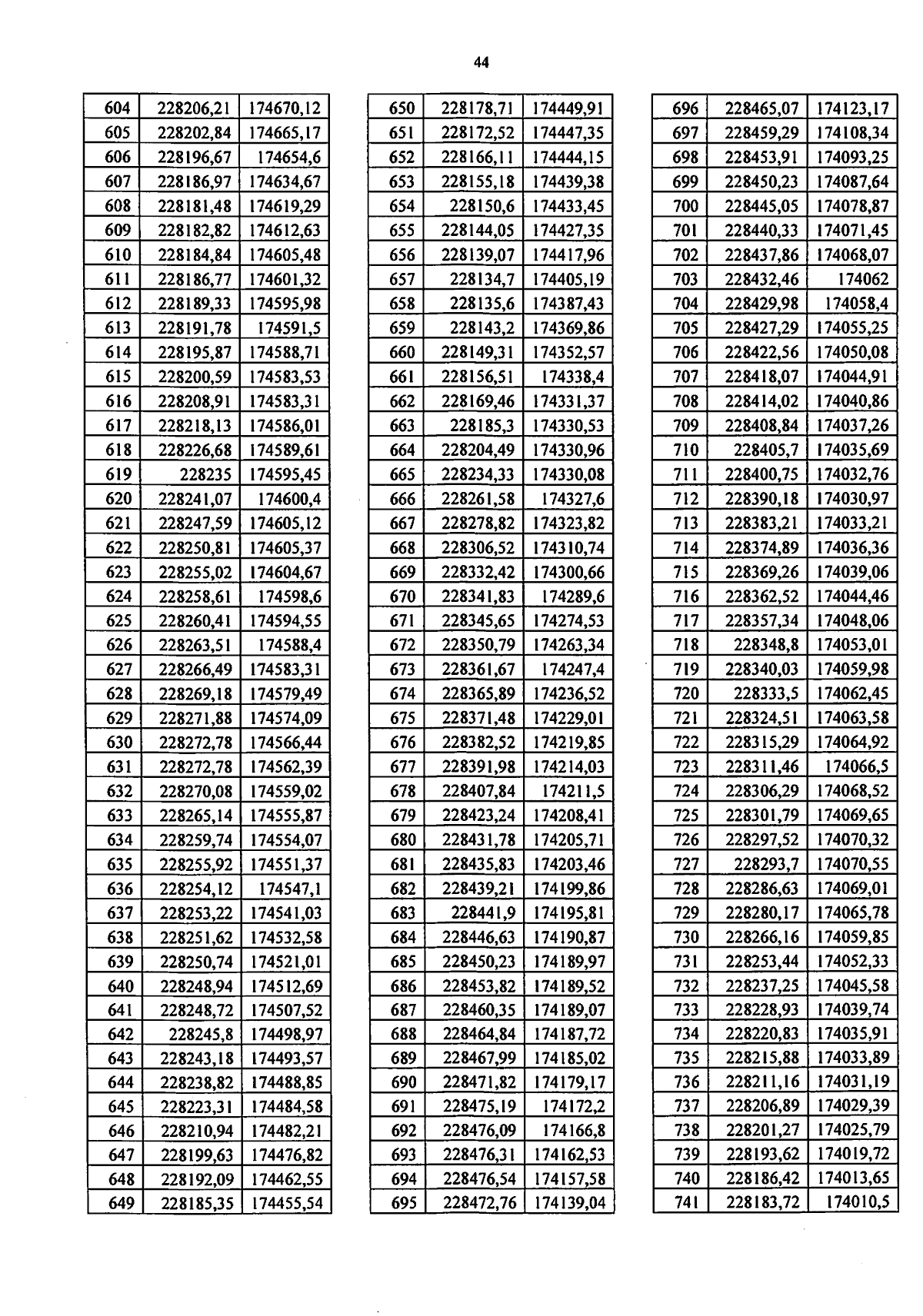
Приказ Министерства природопользования и экологии Владимирской области от 24.11.2023 № 133-н
"Об утверждении границ водоохранной зоны и прибрежной защитной полосы реки Сега"
(Зарегистрирован 24.11.2023 № МПЭ2023-133)
Номер опубликования: 3301202311270004
Дата опубликования: 27.11.2023
Страница №47 из 334:
Увеличить