Официальное опубликование правовых актов
ОФИЦИАЛЬНОЕ ОПУБЛИКОВАНИЕ
Приказ Министерства архитектуры и строительства Владимирской области от 16.11.2023 № 21-Н
"О внесении изменений в постановление Департамента архитектуры и строительства Владимирской области от 05.05.2022 № 14"
(Зарегистрирован 16.11.2023 № МАС2023-021)
Номер опубликования: 3301202311210001
Дата опубликования: 21.11.2023
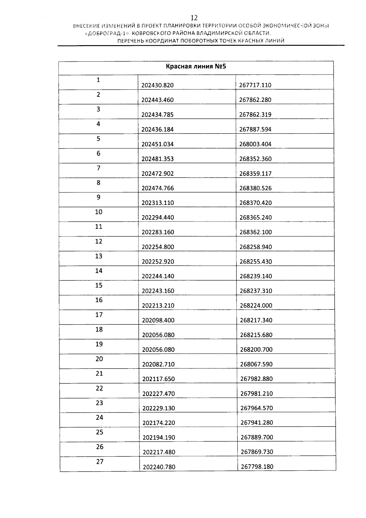
Страница №13 из 90:
Увеличить