Официальное опубликование правовых актов
ОФИЦИАЛЬНОЕ ОПУБЛИКОВАНИЕ
Приказ Министерства природопользования и экологии Владимирской области от 20.11.2023 № 128-н
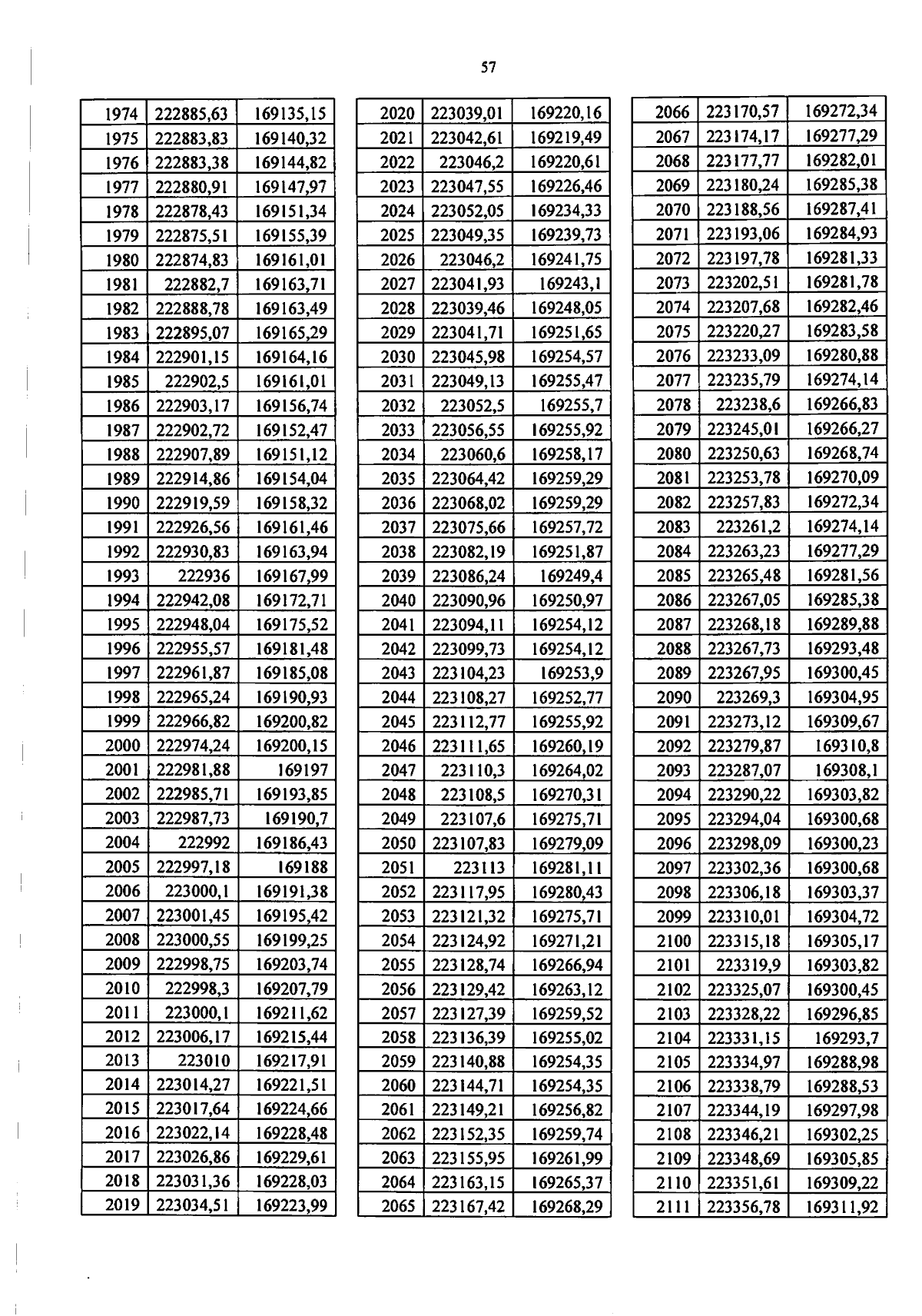
"Об утверждении границ водоохранной зоны и прибрежной защитной полосы реки Жаровка"
(Зарегистрирован 20.11.2023 № МПЭ2023-128)
Номер опубликования: 3301202311200007
Дата опубликования: 20.11.2023
Страница №60 из 112:
Увеличить