Официальное опубликование правовых актов
ОФИЦИАЛЬНОЕ ОПУБЛИКОВАНИЕ
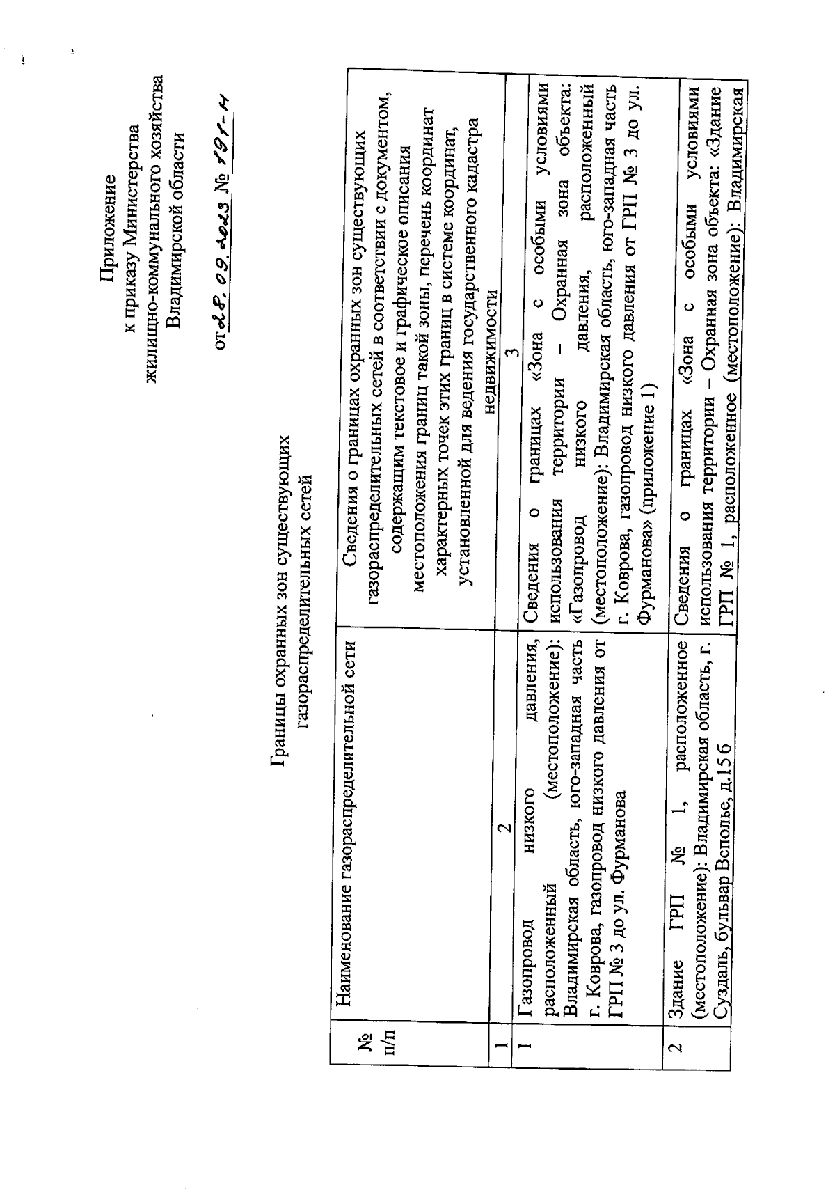
Приказ Министерства жилищно-коммунального хозяйства Владимирской области от 28.09.2023 № 191-н
"Об утверждении границ охранных зон газораспределительных сетей"
(Зарегистрирован 28.09.2023 № МЖКХ2023-191)
Номер опубликования: 3301202310020014
Дата опубликования: 02.10.2023
Страница №2 из 8:
Увеличить