Официальное опубликование правовых актов
ОФИЦИАЛЬНОЕ ОПУБЛИКОВАНИЕ
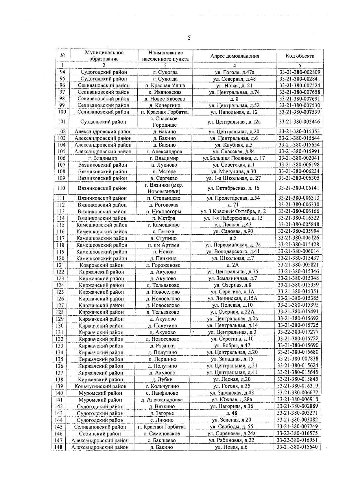
Приказ Министерства государственного регулирования цен и тарифов Владимирской области от 21.09.2023 № 34/97
"Об утверждении экономически обоснованных расходов АО "Газпром газораспределение Владимир" на выполнение мероприятий по технологическому присоединению в рамках догазификации в 2022 году"
(Зарегистрирован 21.09.2023 № МГРЦТ 2023-097)
Номер опубликования: 3301202309260005
Дата опубликования: 26.09.2023
Страница №5 из 71:
Увеличить