Официальное опубликование правовых актов
ОФИЦИАЛЬНОЕ ОПУБЛИКОВАНИЕ
Приказ Министерства государственного регулирования цен и тарифов Владимирской области от 21.09.2023 № 34/98
"О внесении изменений в отдельные приказы Министерства государственного регулирования цен и тарифов Владимирской области"
(Зарегистрирован 21.09.2023 № МГРЦТ 2023-098)
Номер опубликования: 3301202309260004
Дата опубликования: 26.09.2023
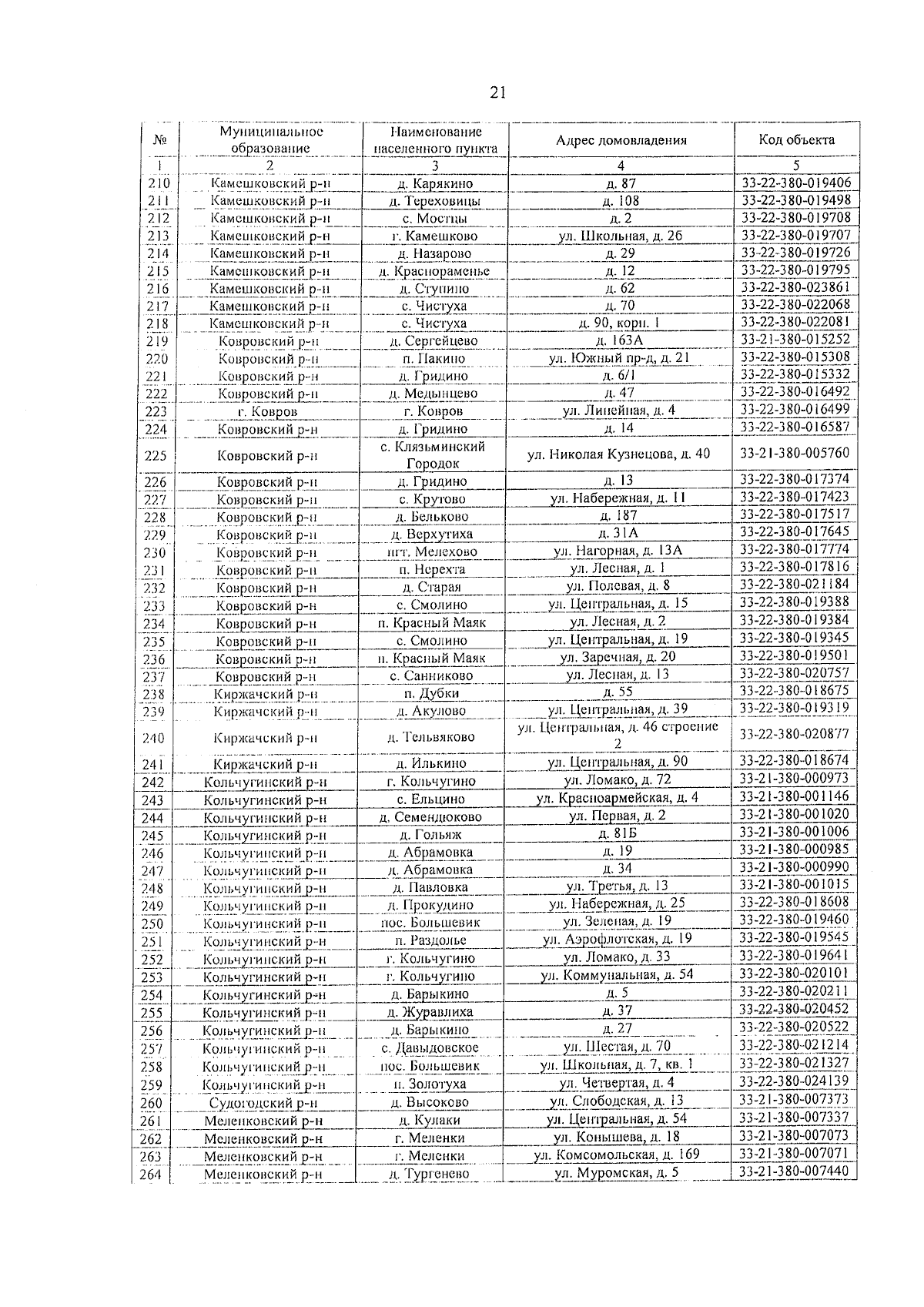
Страница №21 из 23:
Увеличить