Официальное опубликование правовых актов
ОФИЦИАЛЬНОЕ ОПУБЛИКОВАНИЕ
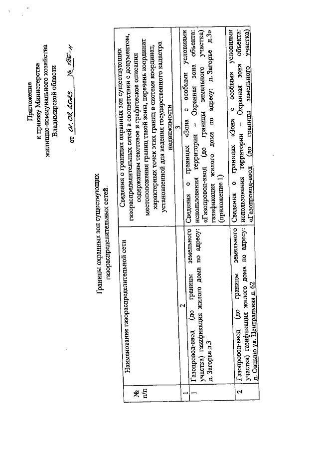
Приказ Министерства жилищно-коммунального хозяйства Владимирской области от 01.08.2023 № 156-н
"Об утверждении границ охранных зон газораспределительных сетей"
(Зарегистрирован 01.08.2023 № МЖКХ2023-156)
Номер опубликования: 3301202308090009
Дата опубликования: 09.08.2023
Страница №2 из 6:
Увеличить