Официальное опубликование правовых актов
ОФИЦИАЛЬНОЕ ОПУБЛИКОВАНИЕ
Приказ Министерства природопользования и экологии Владимирской области от 03.08.2023 № 90-н
"Об установлении зон санитарной охраны источников хозяйственно-питьевого и производственного водоснабжения ОАО "ЗиД"
(Зарегистрирован 03.08.2023 № МПЭ2023-090)
Номер опубликования: 3301202308040004
Дата опубликования: 04.08.2023
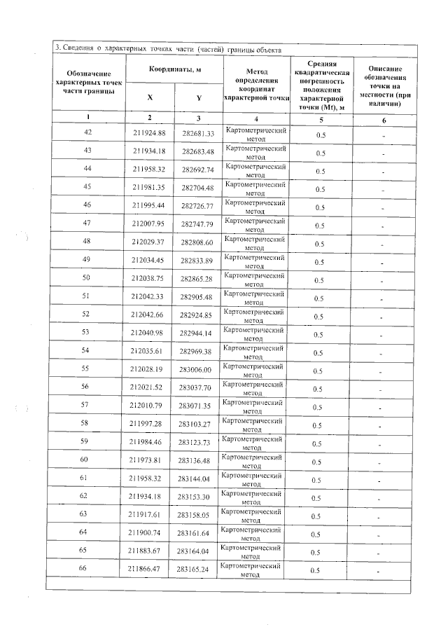
Страница №21 из 48:
Увеличить