Официальное опубликование правовых актов
ОФИЦИАЛЬНОЕ ОПУБЛИКОВАНИЕ
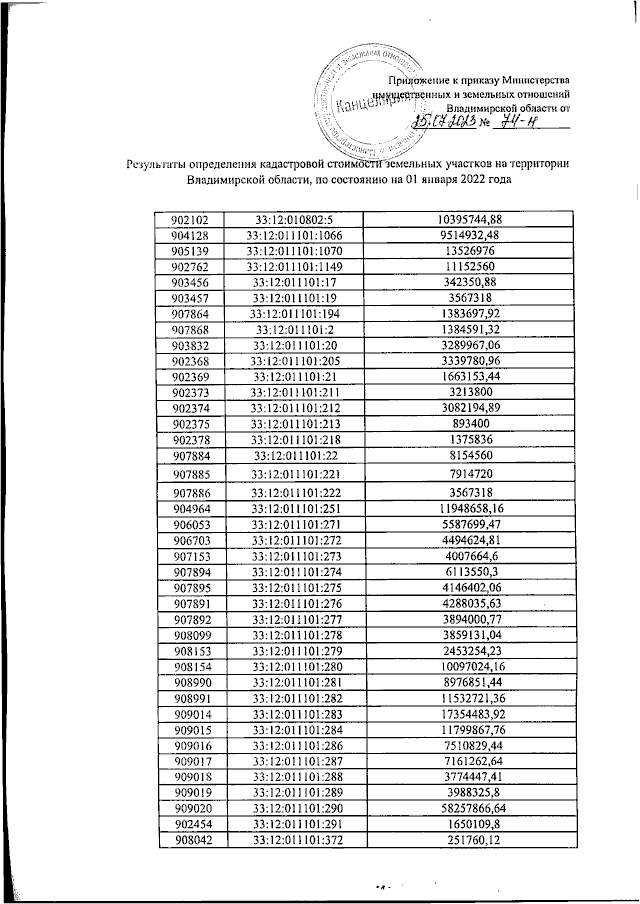
Приказ Министерства имущественных и земельных отношений Владимирской области от 25.07.2023 № 74-н
"О внесении изменений в постановление от 09.11.2022 № 67"
(Зарегистрирован 25.07.2023 № МИО2023-074)
Номер опубликования: 3301202307270005
Дата опубликования: 27.07.2023
Страница №3 из 4:
Увеличить