Официальное опубликование правовых актов
ОФИЦИАЛЬНОЕ ОПУБЛИКОВАНИЕ
Приказ Министерства архитектуры и строительства Владимирской области от 20.06.2023 № 07-Н
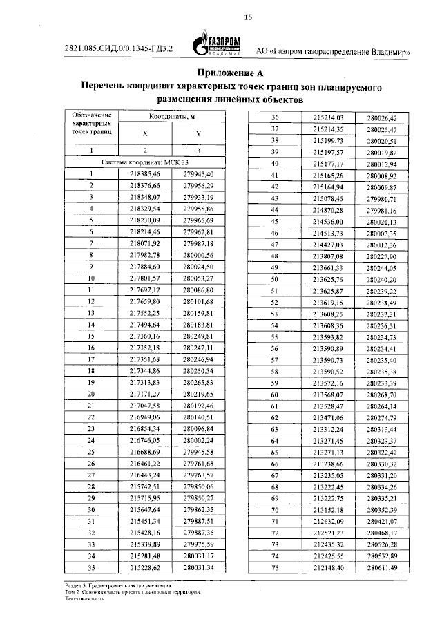
"Об утверждении документации по планировке территории, предусматривающей размещение линейного объекта: "Газопровод межпоселковый к ОЭЗ "Доброград-1" от ГРС Ковров Владимирской области" (код объекта 33/1619-1)"
(Зарегистрирован 20.06.2023 № МАС2023-007)
Номер опубликования: 3301202306220015
Дата опубликования: 22.06.2023
Страница №16 из 79:
Увеличить