Официальное опубликование правовых актов
ОФИЦИАЛЬНОЕ ОПУБЛИКОВАНИЕ
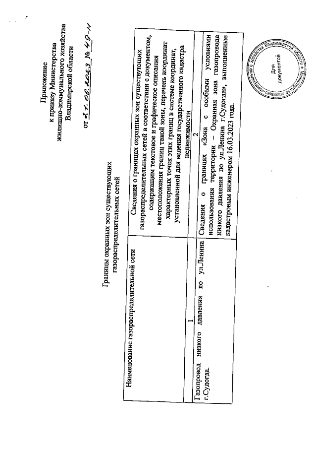
Приказ Министерства жилищно-коммунального хозяйства Владимирской области от 21.06.2023 № 49-н
"Об утверждении границ охранных зон газораспределительных сетей"
(Зарегистрирован 21.06.2023 № МЖКХ2023-049)
Номер опубликования: 3301202306220007
Дата опубликования: 22.06.2023
Страница №2 из 2:
Увеличить