Официальное опубликование правовых актов
ОФИЦИАЛЬНОЕ ОПУБЛИКОВАНИЕ
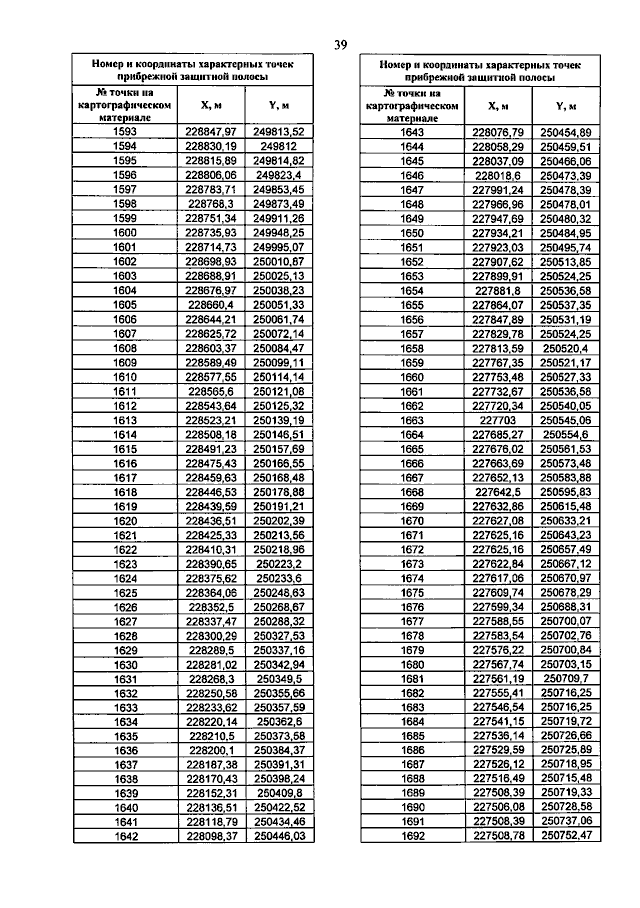
Приказ Министерства природопользования и экологии Владимирской области от 16.06.2023 № 80-н
"Об утверждении границ водоохранной зоны и прибрежной защитной полосы реки Секша"
(Зарегистрирован 16.06.2023 № МПЭ2023-080)
Номер опубликования: 3301202306160001
Дата опубликования: 16.06.2023
Страница №42 из 197:
Увеличить