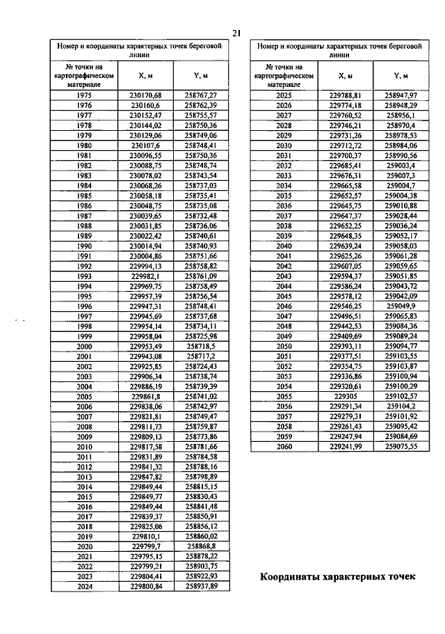
Приказ Министерства природопользования и экологии Владимирской области от 14.06.2023 № 78-н
"Об утверждении границ водоохранной зоны и прибрежной защитной полосы реки Тальша"
(Зарегистрирован 14.06.2023 № МПЭ2023-078)
"Об утверждении границ водоохранной зоны и прибрежной защитной полосы реки Тальша"
(Зарегистрирован 14.06.2023 № МПЭ2023-078)
Номер опубликования: 3301202306140001
Дата опубликования:
14.06.2023
