Официальное опубликование правовых актов
ОФИЦИАЛЬНОЕ ОПУБЛИКОВАНИЕ
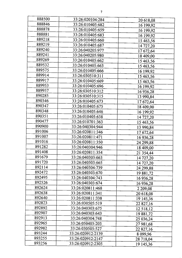
Приказ Министерства имущественных и земельных отношений Владимирской области от 12.05.2023 № 40-н
"О внесении изменений в постановление от 09.11.2022 № 67"
(Зарегистрирован 12.05.2023 № МИО2023-040)
Номер опубликования: 3301202305120004
Дата опубликования: 12.05.2023
Страница №7 из 9:
Увеличить