Официальное опубликование правовых актов
ОФИЦИАЛЬНОЕ ОПУБЛИКОВАНИЕ
Приказ Министерства природопользования и экологии Владимирской области от 28.03.2023 № 38-н
"Об установлении зон санитарной охраны источников хозяйственно-питьевого и производственного водоснабжения СПК "Спасское"
(Зарегистрирован 28.03.2023 № МПЭ2023-038)
Номер опубликования: 3301202303280001
Дата опубликования: 28.03.2023
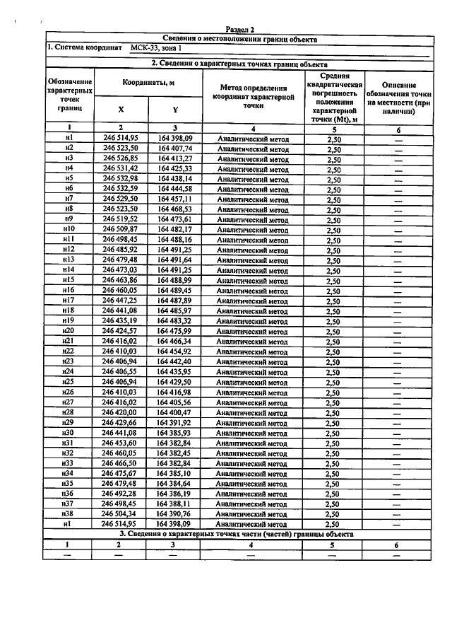
Страница №21 из 30:
Увеличить