Официальное опубликование правовых актов
ОФИЦИАЛЬНОЕ ОПУБЛИКОВАНИЕ
Приказ Министерства имущественных и земельных отношений Владимирской области от 03.03.2023 № 19-н
"О внесении изменений в постановление Департамента имущественных и земельных отношений Владимирской области от 27.11.2020 №18"
(Зарегистрирован 03.03.2023 № МИО2023-019)
Номер опубликования: 3301202303060005
Дата опубликования: 06.03.2023
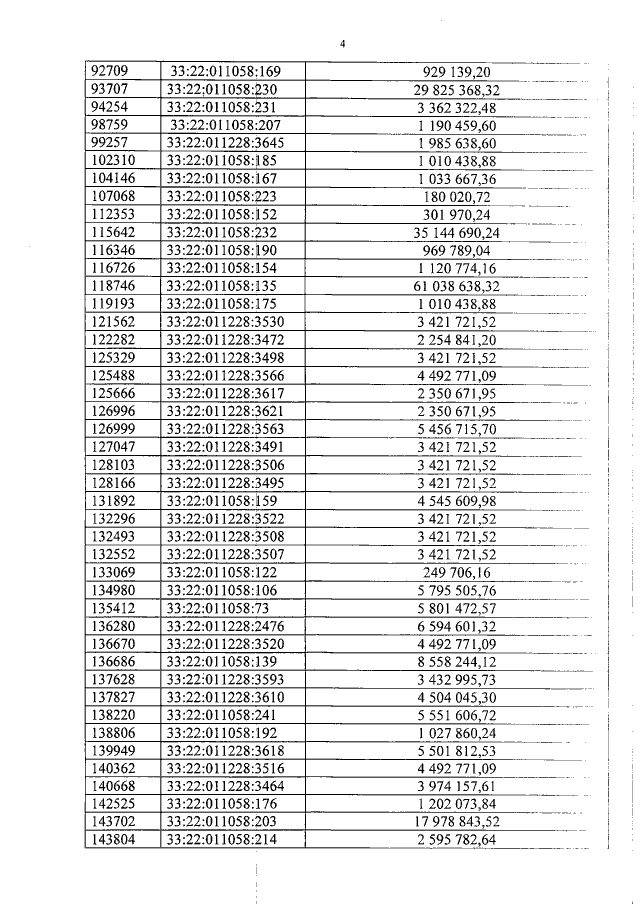
Страница №4 из 5:
Увеличить