Официальное опубликование правовых актов
ОФИЦИАЛЬНОЕ ОПУБЛИКОВАНИЕ
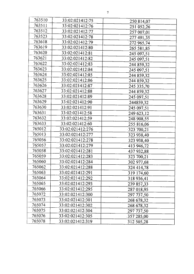
Приказ Министерства имущественных и земельных отношений Владимирской области от 03.03.2023 № 20-н
"О внесении изменений в постановление Департамента имущественных и земельных отношений Владимирской области от 09.11.2022 № 67"
(Зарегистрирован 03.03.2023 № МИО2023-020)
Номер опубликования: 3301202303060001
Дата опубликования: 06.03.2023
Страница №7 из 7:
Увеличить