Официальное опубликование правовых актов
ОФИЦИАЛЬНОЕ ОПУБЛИКОВАНИЕ
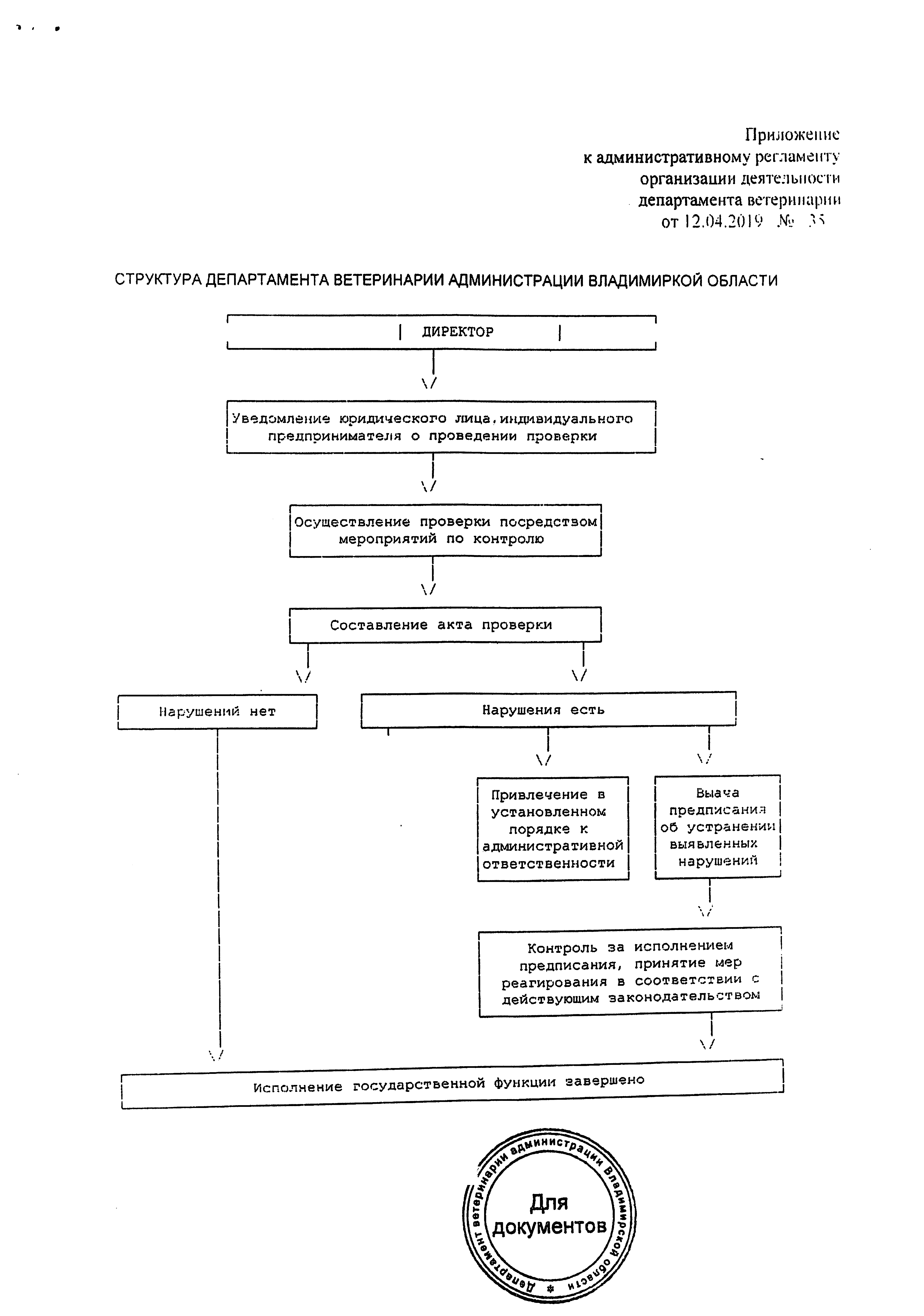
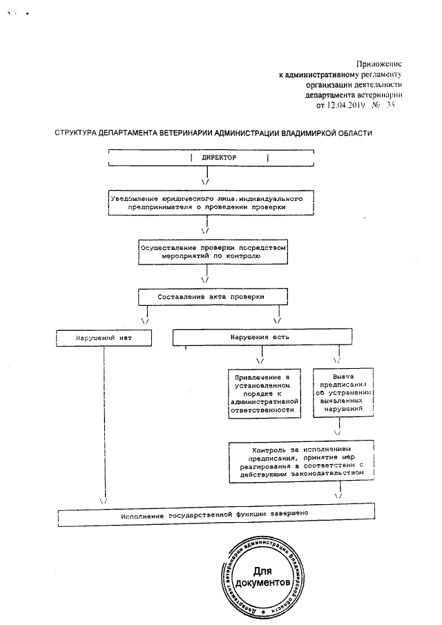
Постановление Департамента ветеринарии Владимирской области от 12.04.2019 № 35
"Об утверждении регламента организации деятельности департамента ветеринарии администрации Владимирской области"
Номер опубликования: 3301201904190007
Дата опубликования: 19.04.2019
Страница №7 из 7: