Официальное опубликование правовых актов
ОФИЦИАЛЬНОЕ ОПУБЛИКОВАНИЕ
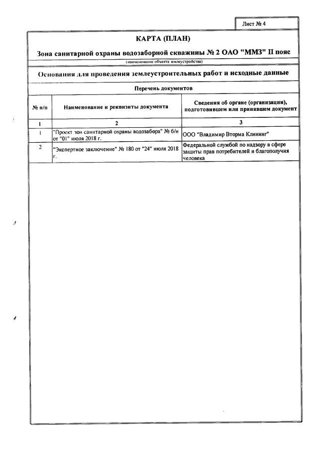
Постановление Департамента природопользования и охраны окружающей среды Владимирской области от 29.10.2018 № 96/01-25
"Об утверждении проекта зон санитарной охраны водозаборных скважин ОАО "ММЗ"
Номер опубликования: 3301201811020002
Дата опубликования: 02.11.2018
Страница №62 из 116:
Увеличить