Официальное опубликование правовых актов
ОФИЦИАЛЬНОЕ ОПУБЛИКОВАНИЕ
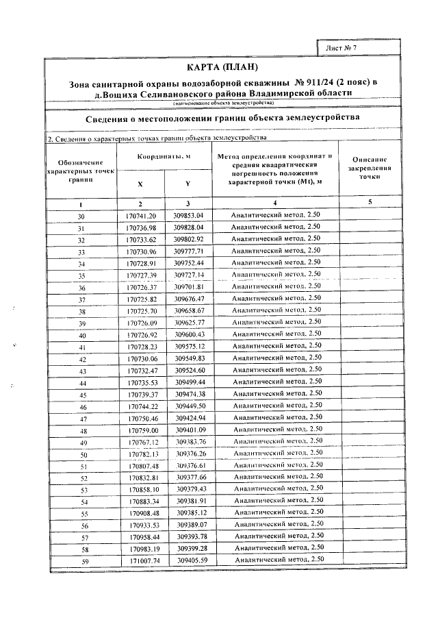
Постановление Департамента природопользования и охраны окружающей среды Владимирской области от 30.10.2018 № 102/01-25
"Об утверждении проекта зон санитарной охраны источника водоснабжения-скважины №911/24 МУП "Водоканал" ЖКХ Селивановского района в д. Вощиха"
Номер опубликования: 3301201811010020
Дата опубликования: 01.11.2018
Страница №17 из 33:
Увеличить