Официальное опубликование правовых актов
ОФИЦИАЛЬНОЕ ОПУБЛИКОВАНИЕ
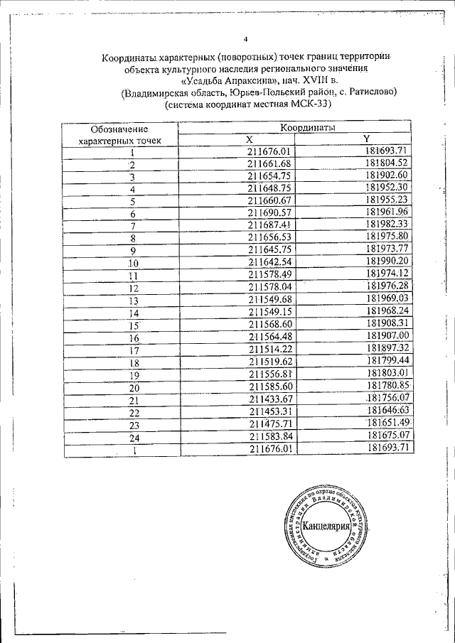
Постановление Инспекции по охране объектов культурного наследия Владимирской области от 12.10.2018 № 46
"Об утверждении границ и режима использования территории объекта культурного наследия федерального значения "Усадьба Апраксина", нач. XVIII в. (Владимирская область, Юрьев-Польский район, с. Ратислово)"
Номер опубликования: 3301201810180004
Дата опубликования: 18.10.2018
Страница №5 из 7:
Увеличить