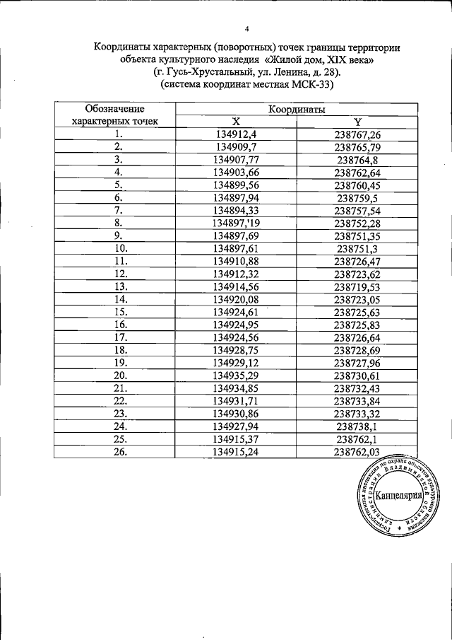
Постановление Инспекции по охране объектов культурного наследия Владимирской области от 14.09.2017 № 128
"Об утверждении границ и режима использования территории объекта культурного наследия регионального значения "Жилой дом, XIX века" (г. Гусь-Хрустальный, ул. Ленина, д. 28)"
"Об утверждении границ и режима использования территории объекта культурного наследия регионального значения "Жилой дом, XIX века" (г. Гусь-Хрустальный, ул. Ленина, д. 28)"
Номер опубликования: 3301201709140001
Дата опубликования:
14.09.2017
