Официальное опубликование правовых актов
ОФИЦИАЛЬНОЕ ОПУБЛИКОВАНИЕ
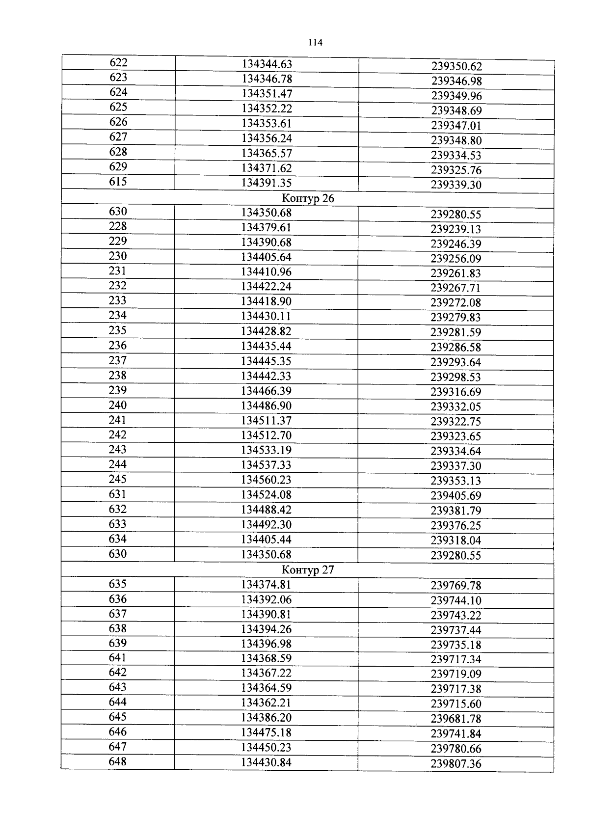
Постановление Правительства Владимирской области от 21.02.2025 № 66
"Об установлении границ объединенной зоны охраны объектов культурного наследия, расположенных на территории г. Гусь-Хрустального, об утверждении режимов использования земель и требований к градостроительным регламентам в границах территории данной зоны"
Номер опубликования: 3300202502240003
Дата опубликования: 24.02.2025
Страница №116 из 162:
Увеличить