Официальное опубликование правовых актов
ОФИЦИАЛЬНОЕ ОПУБЛИКОВАНИЕ
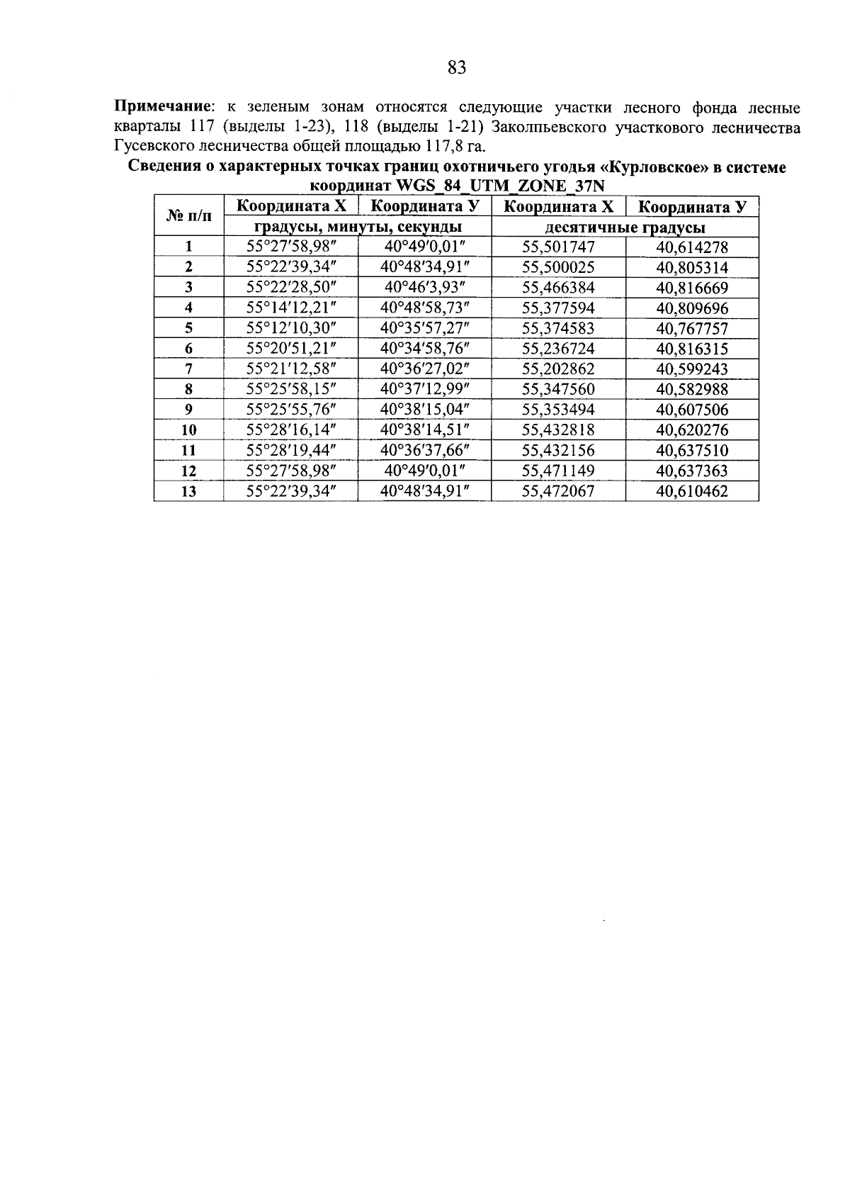
Указ Губернатора Владимирской области от 25.11.2024 № 125
"Об утверждении Схемы размещения, использования и охраны охотничьих угодий на территории Владимирской области"
Номер опубликования: 3300202411260001
Дата опубликования: 26.11.2024
Страница №322 из 552:
Увеличить