Официальное опубликование правовых актов
ОФИЦИАЛЬНОЕ ОПУБЛИКОВАНИЕ
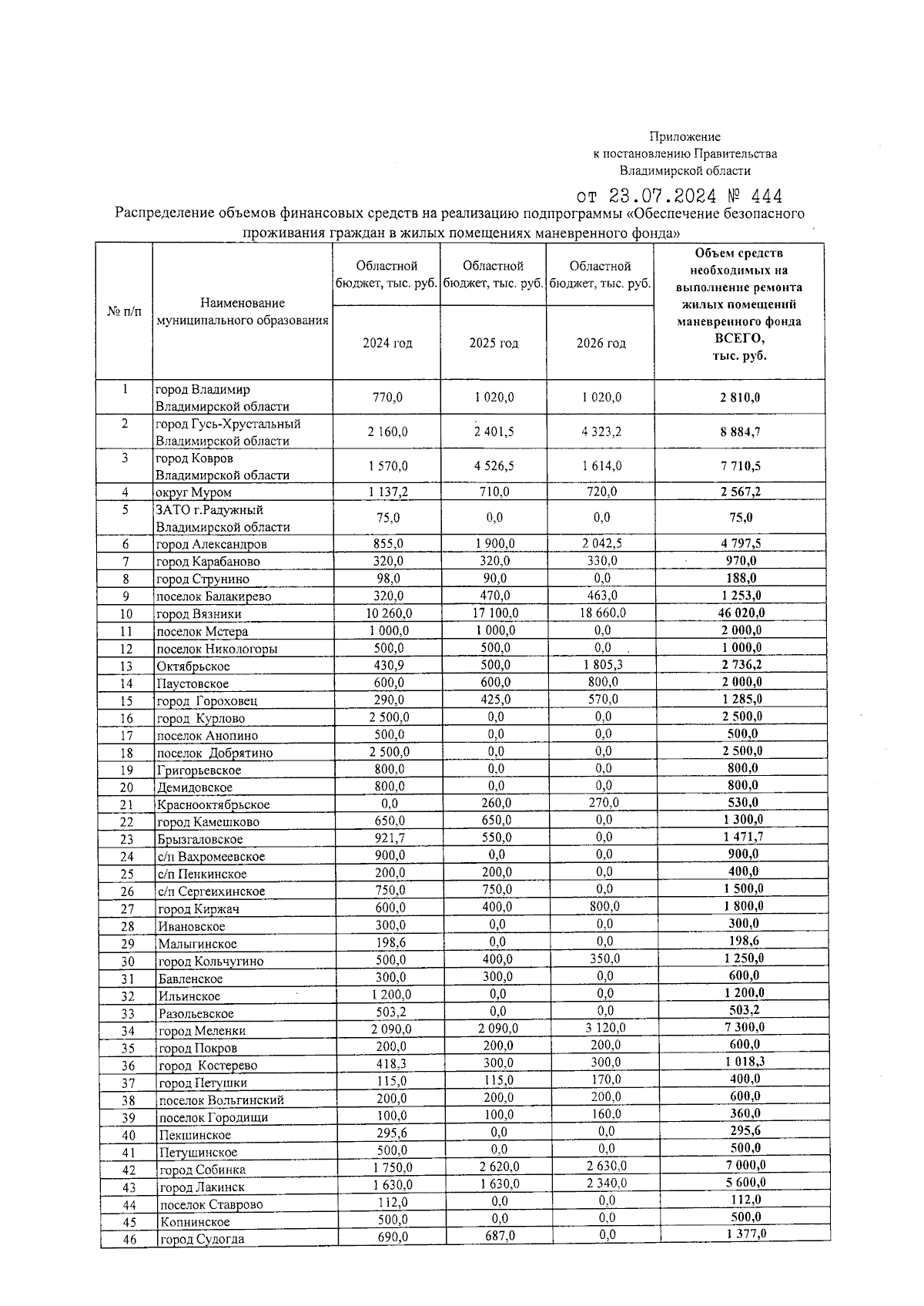
Постановление Правительства Владимирской области от 23.07.2024 № 444
"О внесении изменений в постановление администрации Владимирской области от 28.03.2019 № 235"
Номер опубликования: 3300202407240003
Дата опубликования: 24.07.2024
Страница №3 из 4:
Увеличить