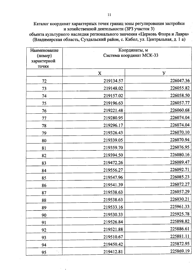
Постановление администрации Владимирской области от 28.03.2019 № 229
"Об утверждении зон охраны объекта культурного наследия регионального значения "Церковь Флора и Лавра", 1808 г., (Владимирская область, Суздальский район, с. Кибол, ул. Центральная, д. 1а), особых режимов использования земель и требований к градостроительным регламентам в границах территорий данных зон"
"Об утверждении зон охраны объекта культурного наследия регионального значения "Церковь Флора и Лавра", 1808 г., (Владимирская область, Суздальский район, с. Кибол, ул. Центральная, д. 1а), особых режимов использования земель и требований к градостроительным регламентам в границах территорий данных зон"
Номер опубликования: 3300201903280005
Дата опубликования:
28.03.2019
