Официальное опубликование правовых актов
ОФИЦИАЛЬНОЕ ОПУБЛИКОВАНИЕ
Постановление администрации Владимирской области от 17.01.2019 № 17
"О внесении изменений в постановление администрации области от 13.11.2014 № 1163"
Номер опубликования: 3300201901210004
Дата опубликования: 21.01.2019
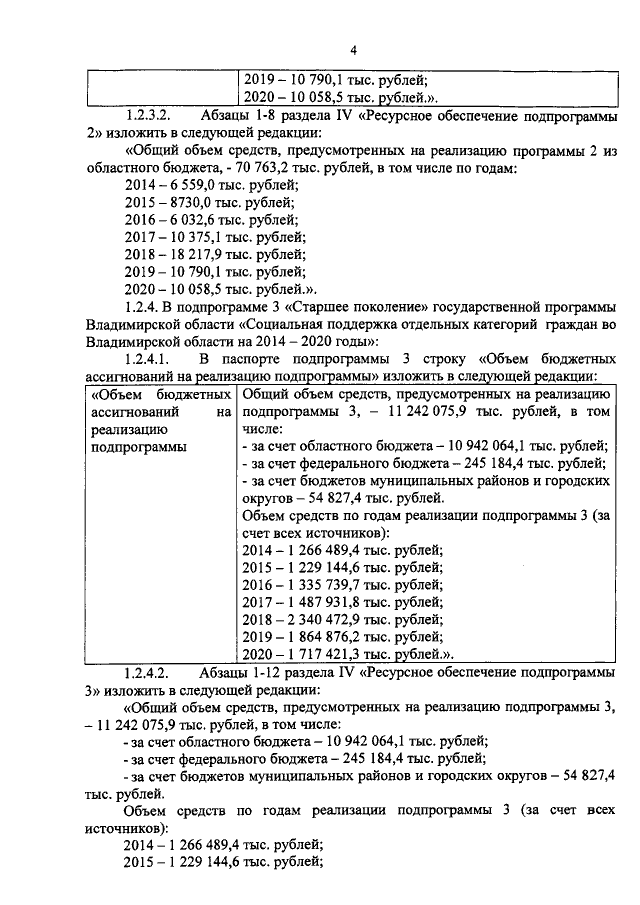
Страница №4 из 33:
Увеличить