Официальное опубликование правовых актов
ОФИЦИАЛЬНОЕ ОПУБЛИКОВАНИЕ
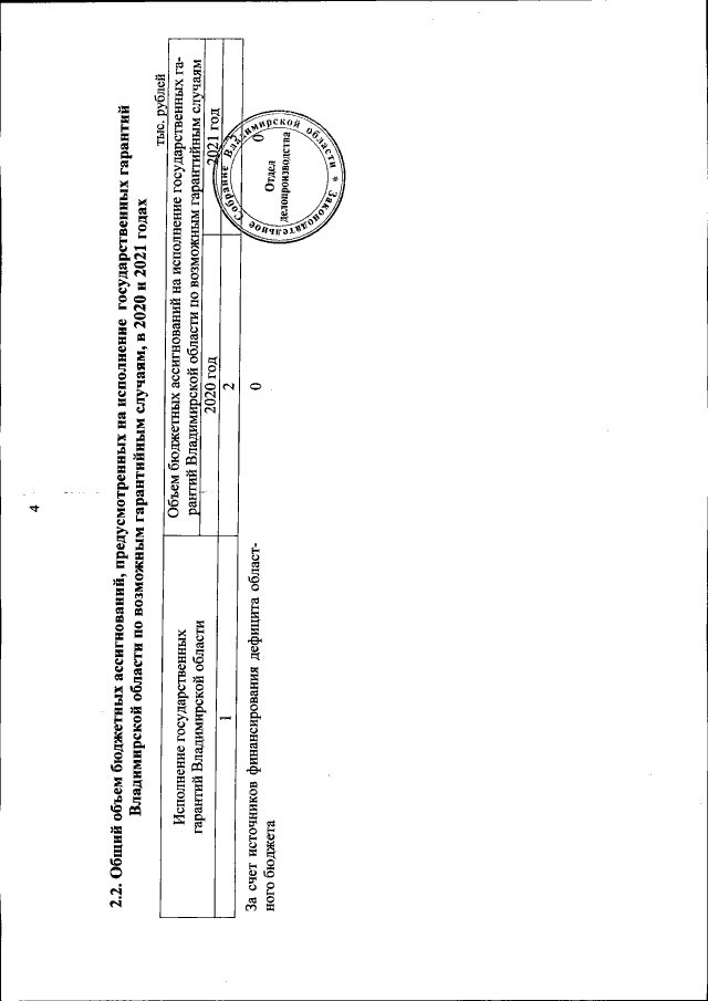
Закон Владимирской области от 24.12.2018 № 131-ОЗ
"Об областном бюджете на 2019 год и на плановый период 2020 и 2021 годов"
Номер опубликования: 3300201812250005
Дата опубликования: 25.12.2018
Страница №823 из 826:
Увеличить