Официальное опубликование правовых актов
ОФИЦИАЛЬНОЕ ОПУБЛИКОВАНИЕ
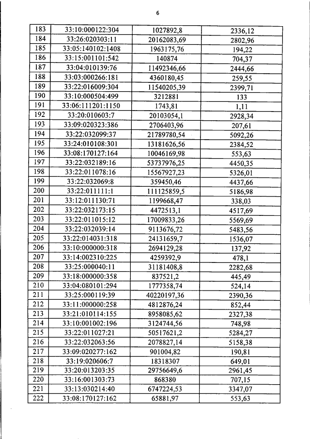
Постановление администрации Владимирской области от 30.11.2016 № 1048
"Об утверждении результатов государственной кадастровой оценки земельных участков в составе земель населенных пунктов Владимирской области"
Номер опубликования: 3300201612020001
Дата опубликования: 02.12.2016
Страница №7 из 34:
Увеличить