Официальное опубликование правовых актов
ОФИЦИАЛЬНОЕ ОПУБЛИКОВАНИЕ
Постановление администрации Владимирской области от 09.02.2016 № 90
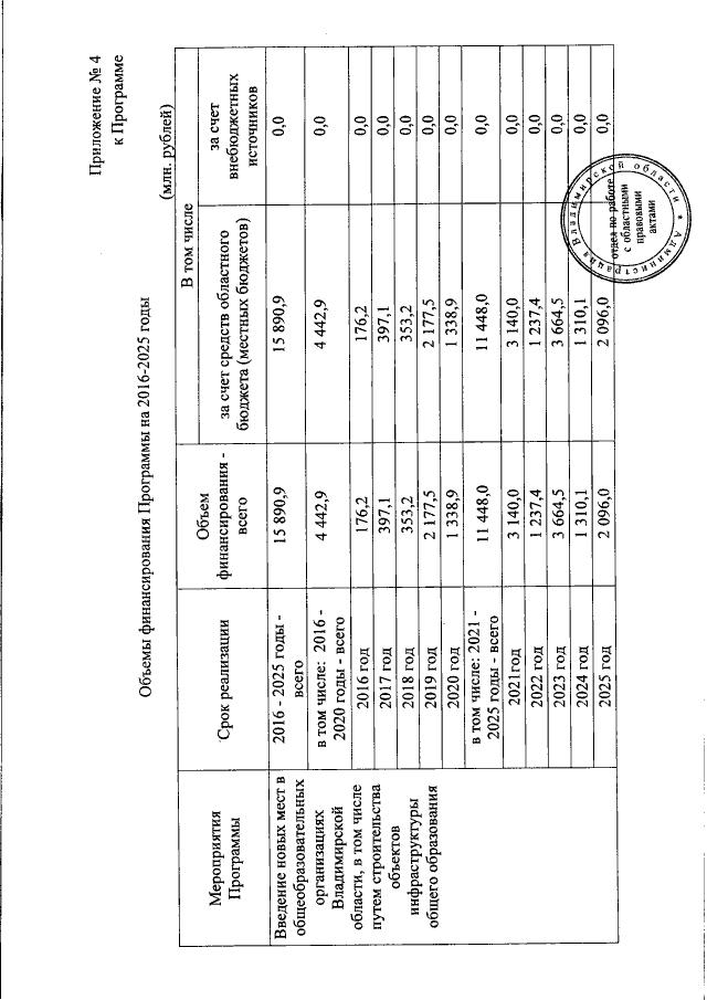
"Об утверждении Государственной программы Владимирской области "Создание новых мест в общеобразовательных организациях в соответствии с прогнозируемой потребностью и современными условиями обучения на 2016-2025 годы"
Номер опубликования: 3300201602120005
Дата опубликования: 12.02.2016
Страница №21 из 21:
Увеличить