Официальное опубликование правовых актов
ОФИЦИАЛЬНОЕ ОПУБЛИКОВАНИЕ
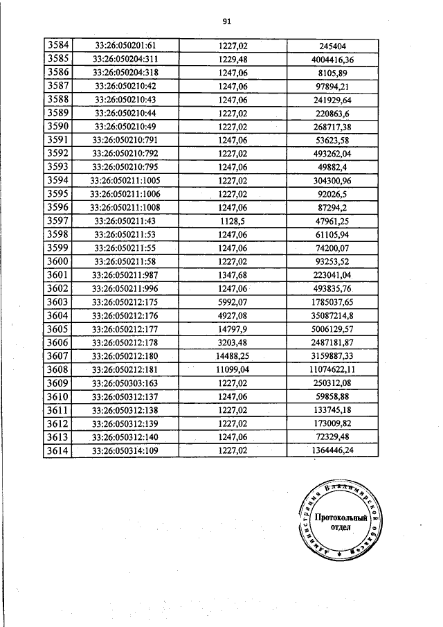
Постановление администрации Владимирской области от 30.10.2015 № 1083
"Об утверждении результатов государственной кадастровой оценки объектов недвижимости, находящихся в государственной собственности Владимирской области, за исключением земельных участков"
Номер опубликования: 3300201511020012
Дата опубликования: 02.11.2015
Страница №92 из 92:
Увеличить