Официальное опубликование правовых актов
ОФИЦИАЛЬНОЕ ОПУБЛИКОВАНИЕ
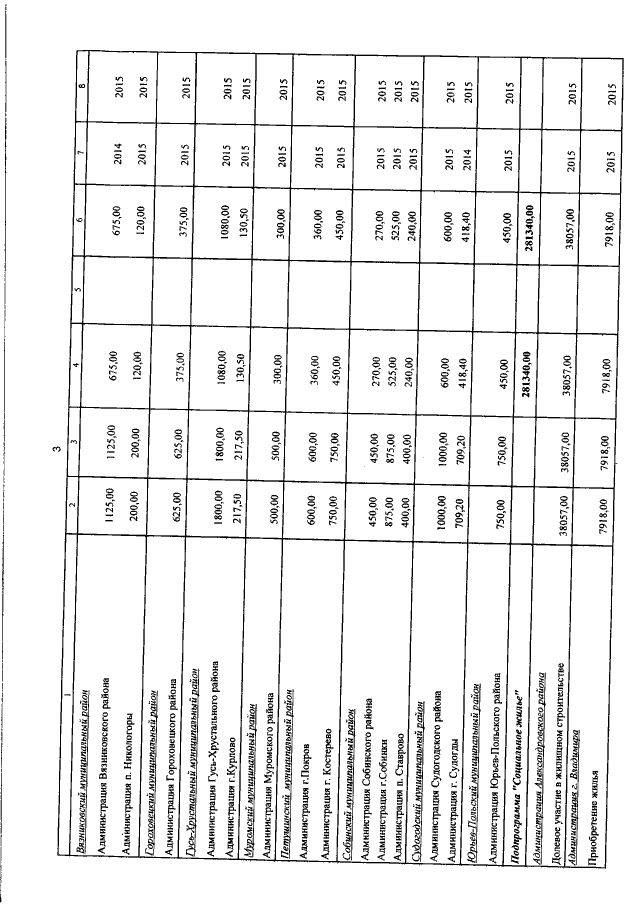
Постановление администрации Владимирской области от 24.08.2015 № 835
"О внесении изменений в постановление администрации области от 20.04.2015 № 335"Об утверждении Перечней объектов капитального строительства на 2015 год"
Номер опубликования: 3300201508250012
Дата опубликования: 25.08.2015
Страница №4 из 10:
Увеличить