Официальное опубликование правовых актов
ОФИЦИАЛЬНОЕ ОПУБЛИКОВАНИЕ
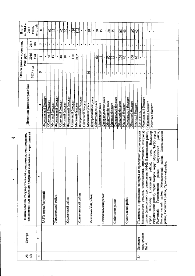
Постановление администрации Владимирской области от 26.12.2014 № 1353
"О внесении изменений в постановление Губернатора области от 28.11.2013 № 1344"
Номер опубликования: 3300201412300002
Дата опубликования: 30.12.2014
Страница №17 из 39:
Увеличить