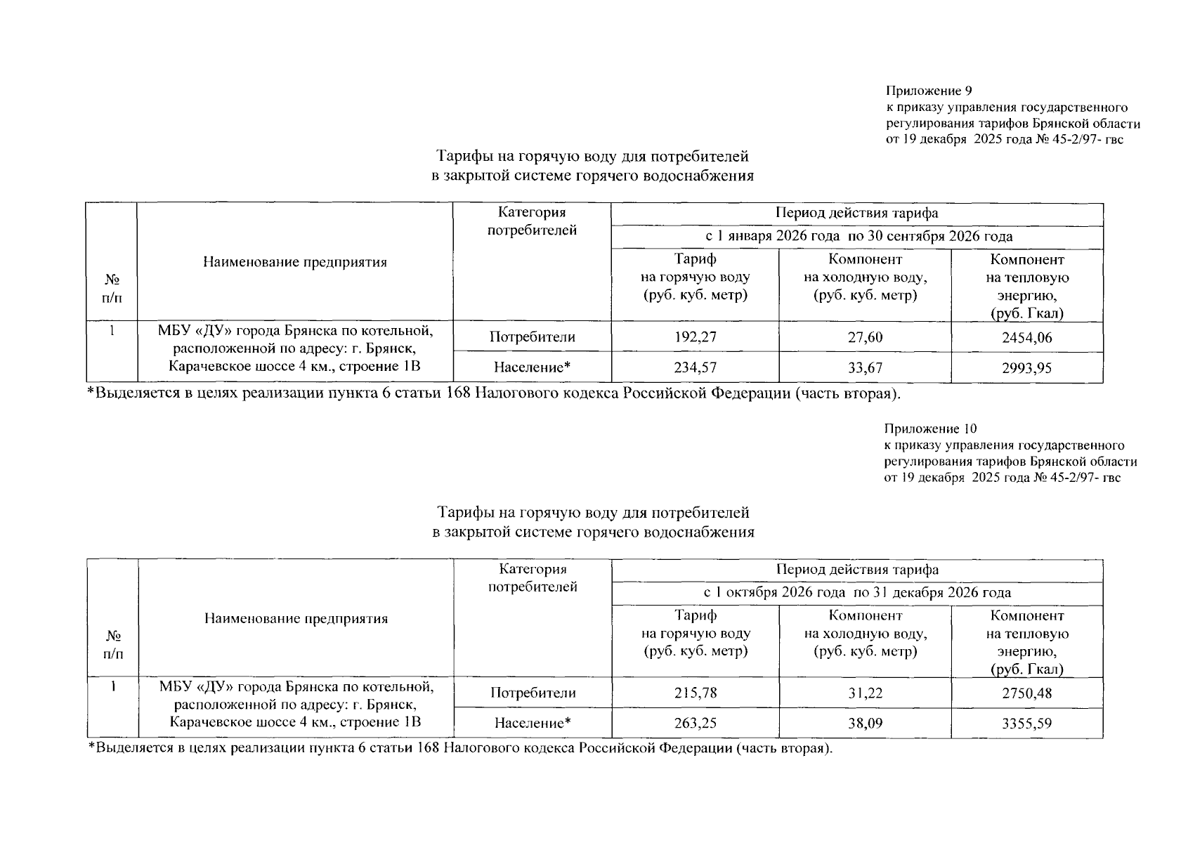
Приказ Управления государственного регулирования тарифов Брянской области от 19.12.2025 № 45-2/97-гвс
"О тарифах на горячую воду, поставляемую потребителям МБУ "ДУ" города Брянска на 2026 год"
(Зарегистрирован 25.12.2025 № 20250321024)
"О тарифах на горячую воду, поставляемую потребителям МБУ "ДУ" города Брянска на 2026 год"
(Зарегистрирован 25.12.2025 № 20250321024)
Номер опубликования: 3201202512310045
Дата опубликования:
31.12.2025
