Официальное опубликование правовых актов
ОФИЦИАЛЬНОЕ ОПУБЛИКОВАНИЕ
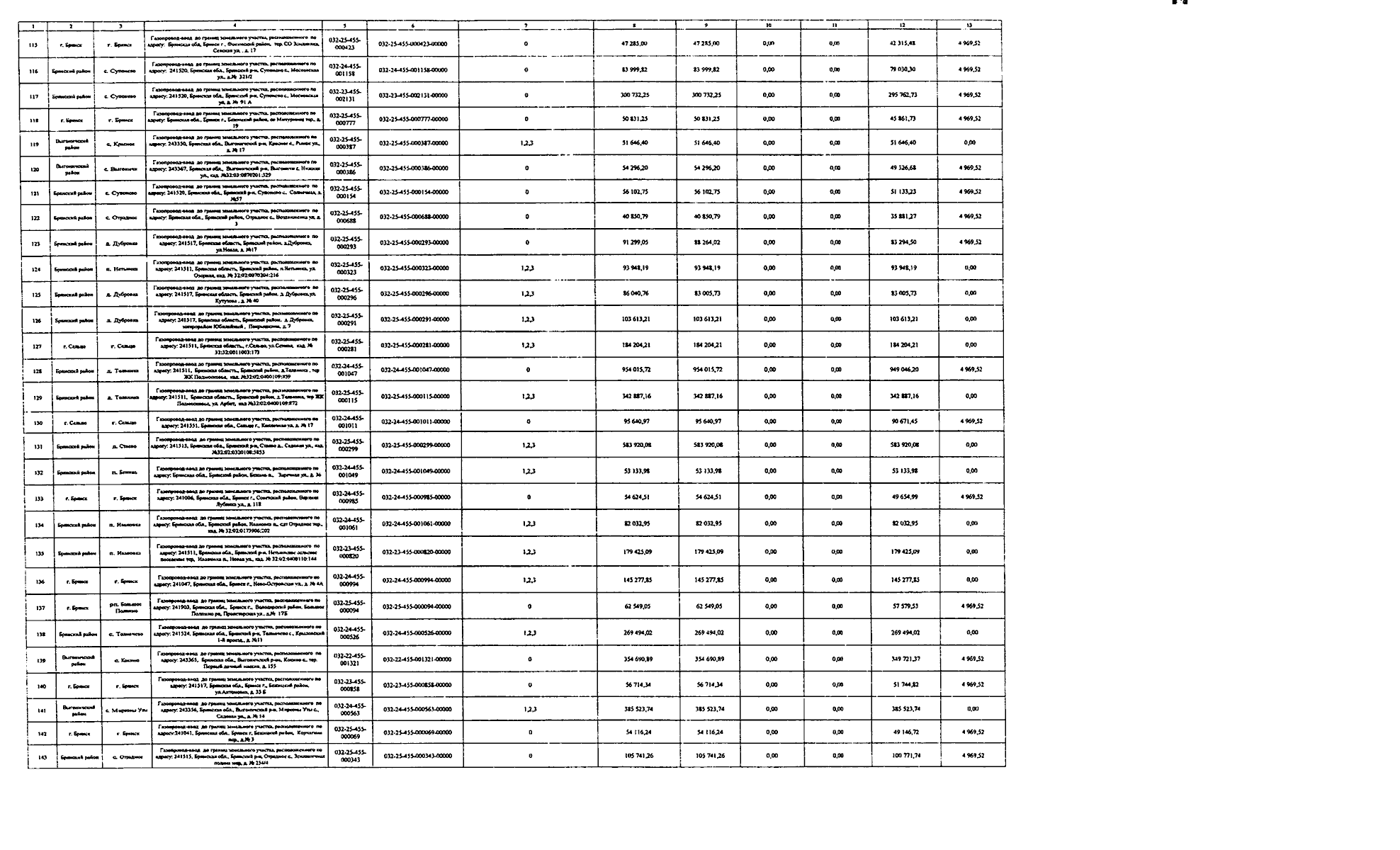
Приказ Управления государственного регулирования тарифов Брянской области от 25.11.2025 № 40/14-г
"Об установлении размера экономически обоснованных расходов на выполнение мероприятий по технологическому присоединению в рамках догазификации за III квартал 2025 года"
(Зарегистрирован 26.11.2025 № 20250085024)
Номер опубликования: 3201202512020004
Дата опубликования: 02.12.2025
Страница №7 из 20:
Увеличить