Официальное опубликование правовых актов
ОФИЦИАЛЬНОЕ ОПУБЛИКОВАНИЕ
Приказ Управления имущественных отношений Брянской области от 19.11.2025 № 1686
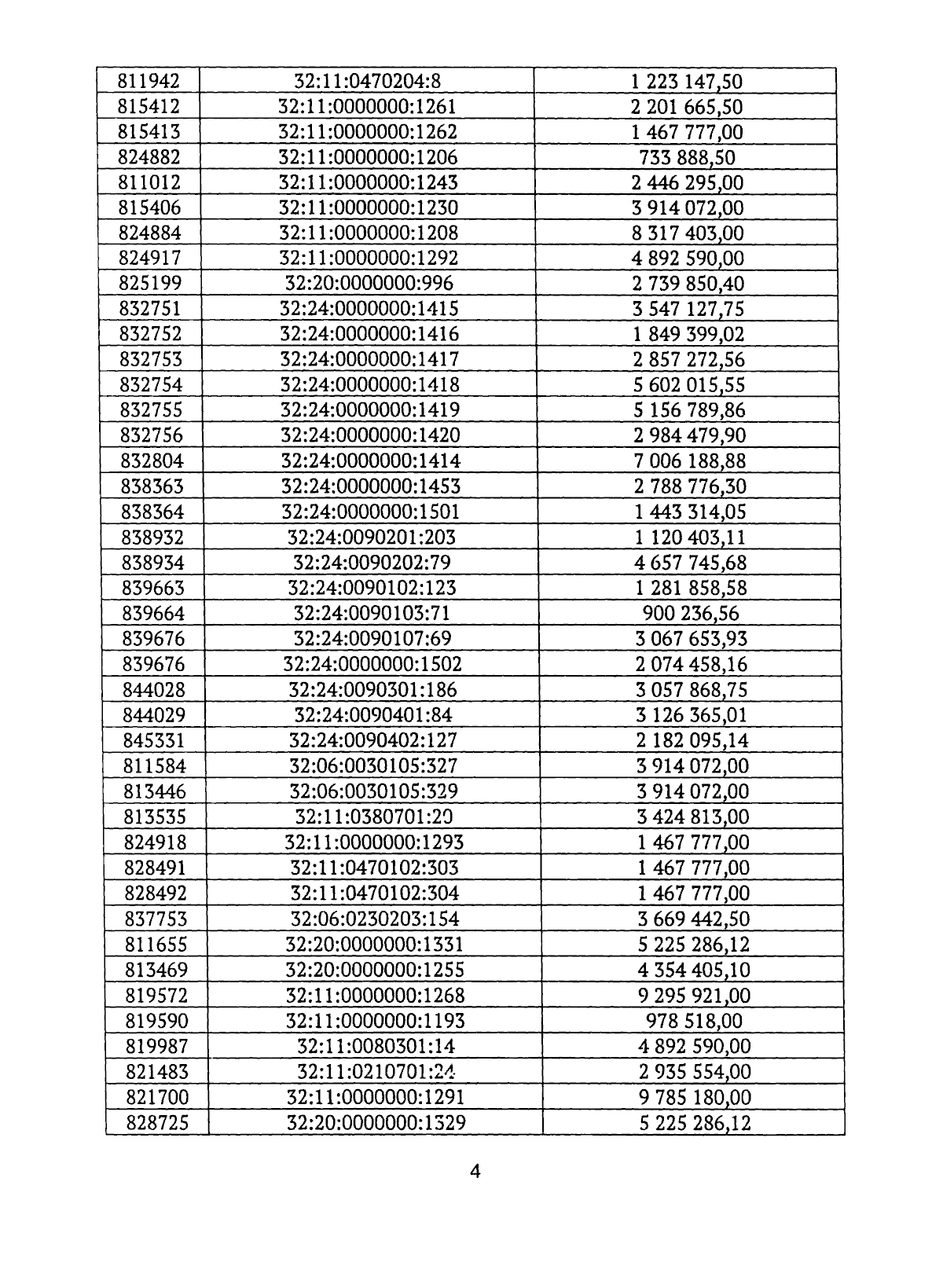
"О внесении изменений в приказ от 01.11.2023 № 1789 "Об утверждении результатов определения кадастровой стоимости на территории Брянской области"
(Зарегистрирован 24.11.2025 № 20250068019)
Номер опубликования: 3201202511280001
Дата опубликования: 28.11.2025
Страница №4 из 8:
Увеличить