Официальное опубликование правовых актов
ОФИЦИАЛЬНОЕ ОПУБЛИКОВАНИЕ
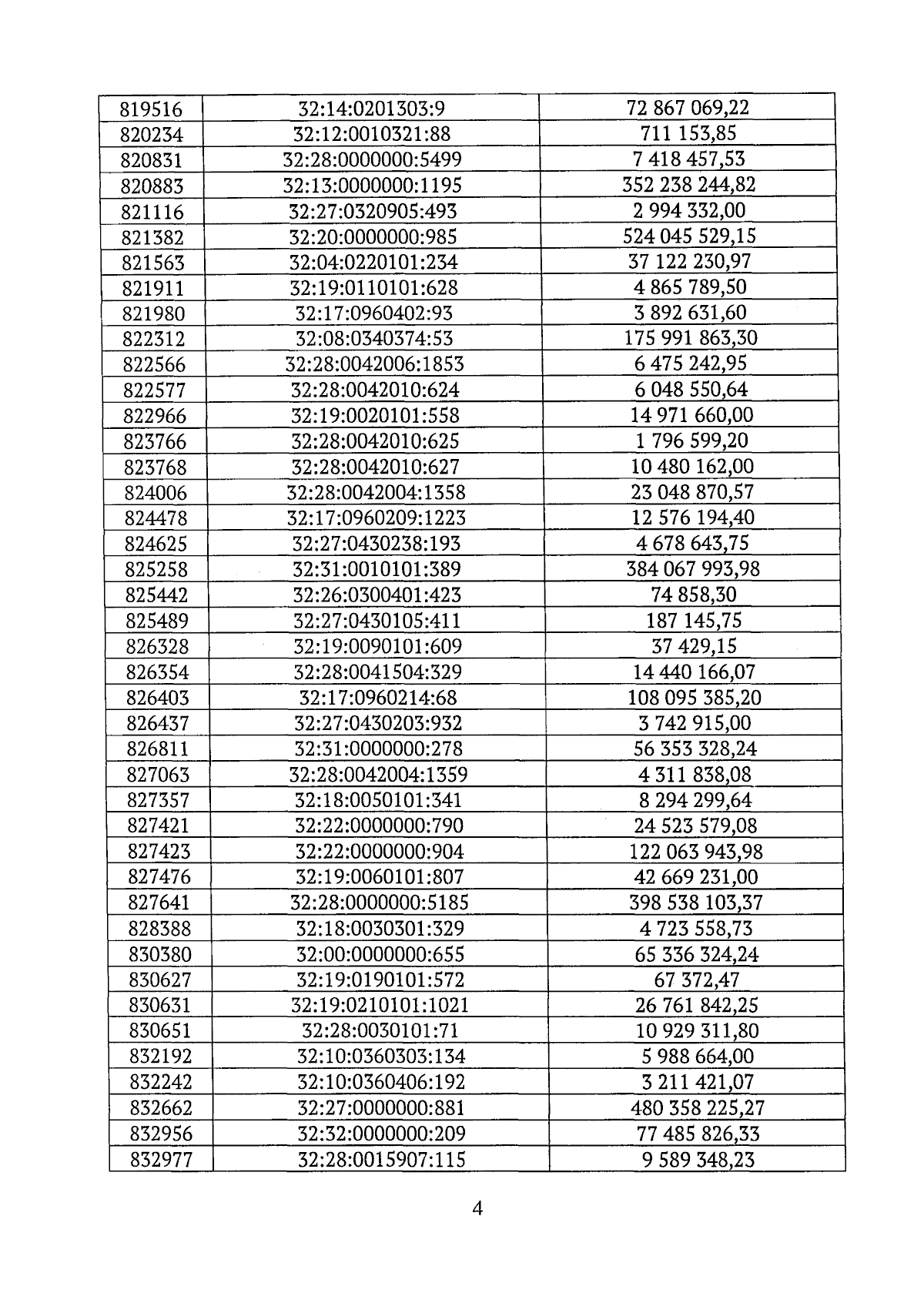
Приказ Управления имущественных отношений Брянской области от 05.11.2025 № 1651
"О внесении изменений в приказ от 01.11.2023 № 1789 "Об утверждении результатов определения кадастровой стоимости на территории Брянской области"
(Зарегистрирован 07.11.2025 № 20250067019)
Номер опубликования: 3201202511110008
Дата опубликования: 11.11.2025
Страница №4 из 7:
Увеличить